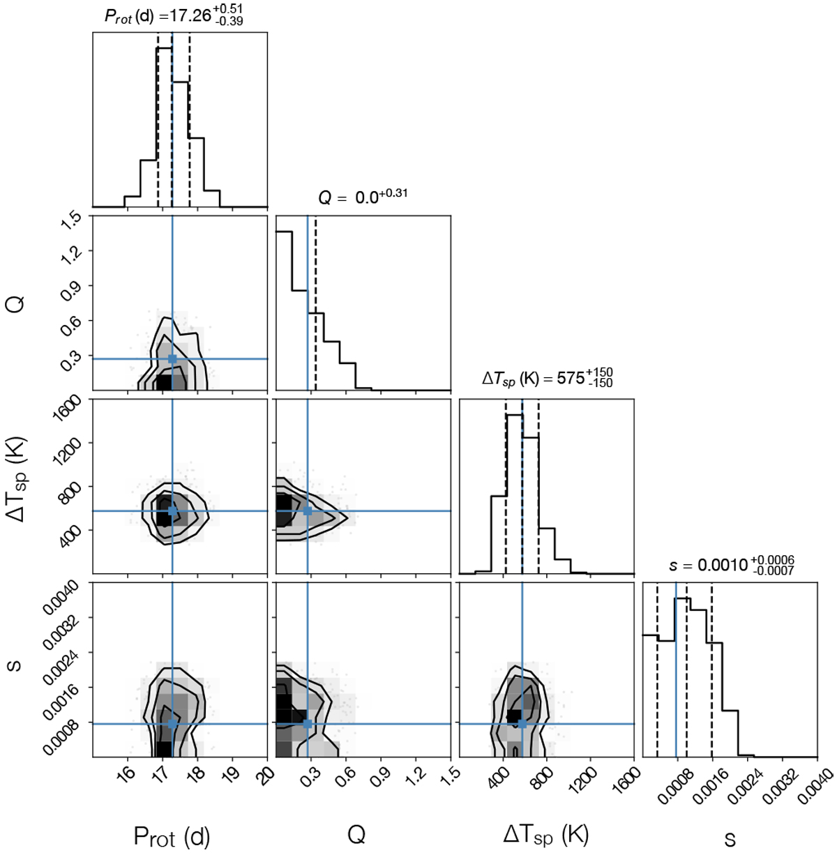
Fig. 6

Histograms and correlations of 365 statistically-equivalent solutions for the fitted StarSim parameters: the rotational period, Prot, the facula-to-spot area ratio, Q, the spot-photosphere temperature contrast, ΔTsp, and the photometric jitter, s. The dotted lines mark the median and 68% percentiles of the parameter distributions and the blue lines indicate the parameters of the solution with the best likelihood value found.
Current usage metrics show cumulative count of Article Views (full-text article views including HTML views, PDF and ePub downloads, according to the available data) and Abstracts Views on Vision4Press platform.
Data correspond to usage on the plateform after 2015. The current usage metrics is available 48-96 hours after online publication and is updated daily on week days.
Initial download of the metrics may take a while.