Free Access

Fig. 10

image

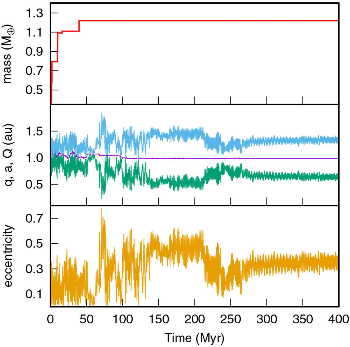
Evolution in time of the mass, pericentric distance (q), semimajor axis (a), and apocentric distance (Q) and eccentricity in the panels top, middle and bottom, respectively, for a class A Earth analog.

Current usage metrics show cumulative count of Article Views (full-text article views including HTML views, PDF and ePub downloads, according to the available data) and Abstracts Views on Vision4Press platform.

Data correspond to usage on the plateform after 2015. The current usage metrics is available 48-96 hours after online publication and is updated daily on week days.

Initial download of the metrics may take a while.