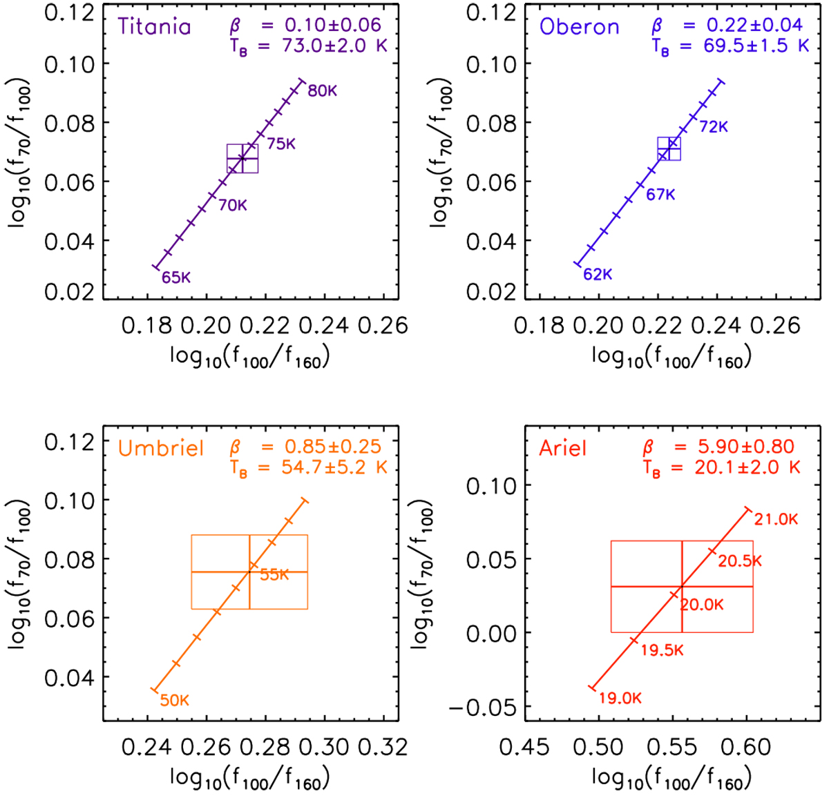
Fig. 6

PACS two-colour diagrams for the Uranian moons. The PACS fluxes are not colour corrected and refer to the PACS standard photometric reference SED ν × fν = const. The boxes with the central cross indicate the uncertainty range of the measured colours (determined by log
and log
, respectively.) The straight lines with the temperature tick marks represent the colours of modified blackbodies calculated according to Eq. (4) for the displayed temperature range and with
β
as indicated in the upper right corner of each panel. Derived β
and Tb are used for a plausibility check of the PACS photometry.
Current usage metrics show cumulative count of Article Views (full-text article views including HTML views, PDF and ePub downloads, according to the available data) and Abstracts Views on Vision4Press platform.
Data correspond to usage on the plateform after 2015. The current usage metrics is available 48-96 hours after online publication and is updated daily on week days.
Initial download of the metrics may take a while.