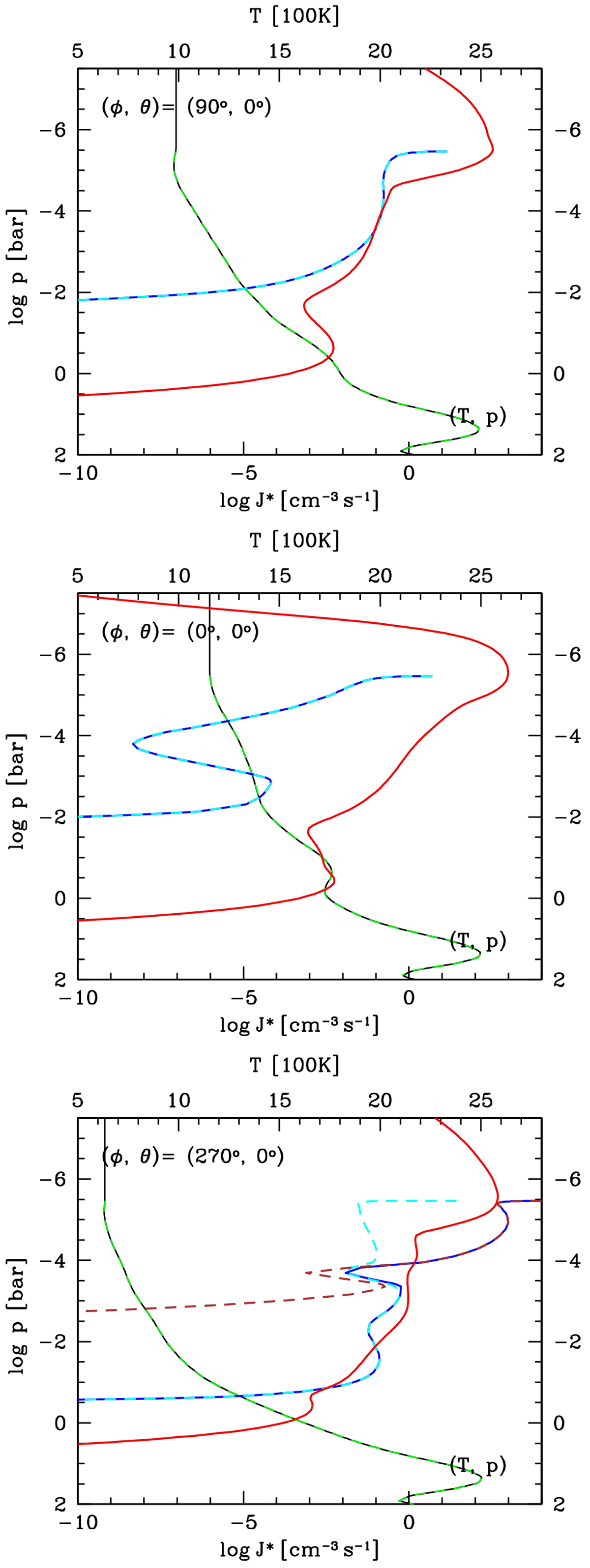
Fig. 13

Two cloud particle ensembles: the mineral seed formation rate (blue: total value of the mineral seed particles TiO2 (cyan dashed), SiO (brown dashed) and KCl (green, not occurring at equator)) and the hydrocarbon haze particles formation rate (red). The (Tgas, pgas) structure is shown in black (extrapolated) and green dashed (original 3D GCM).
Current usage metrics show cumulative count of Article Views (full-text article views including HTML views, PDF and ePub downloads, according to the available data) and Abstracts Views on Vision4Press platform.
Data correspond to usage on the plateform after 2015. The current usage metrics is available 48-96 hours after online publication and is updated daily on week days.
Initial download of the metrics may take a while.