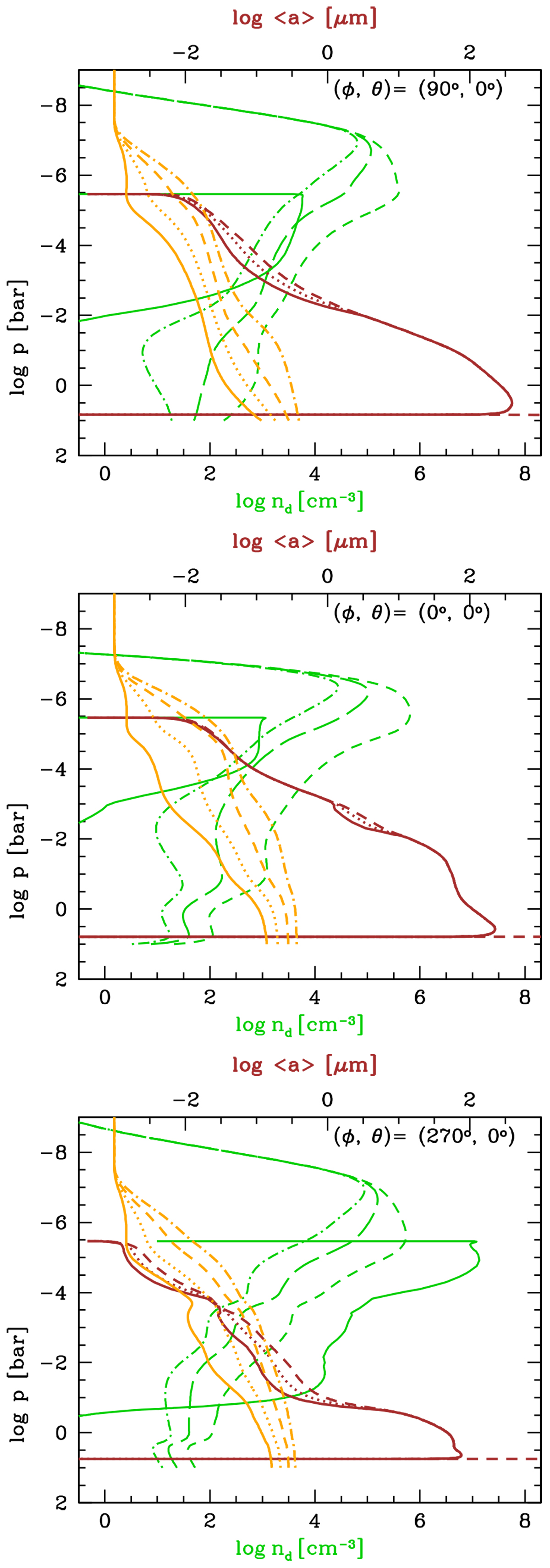
Fig. A.1

Particle number density (nd [cm−3], bottom axis): green solid – mineral particles, green dashed – hydrocarbon haze (short dashed – total number density Σn(ai) with ai the size of the individual haze particle; long dashed – surface averaged nsurf as in Eq. (65) in, dash-dot – volume averaged nVol surface as in Eq. (66), both in Kawashima & Ikoma 2018). Mean particles size (⟨a⟩ [μm], top axis): mineral particles – brown; hydrocarbon hazes – orange (⟨a⟩ (Eq. (A.3)) – solid lines;
(Eq. (A.6)) – dashed lines;
(Eq. (A.8)) – dotted lines,
as in Eq. (38) in Kawashima & Ikoma 2018 – dash-dot).
Current usage metrics show cumulative count of Article Views (full-text article views including HTML views, PDF and ePub downloads, according to the available data) and Abstracts Views on Vision4Press platform.
Data correspond to usage on the plateform after 2015. The current usage metrics is available 48-96 hours after online publication and is updated daily on week days.
Initial download of the metrics may take a while.