Free Access
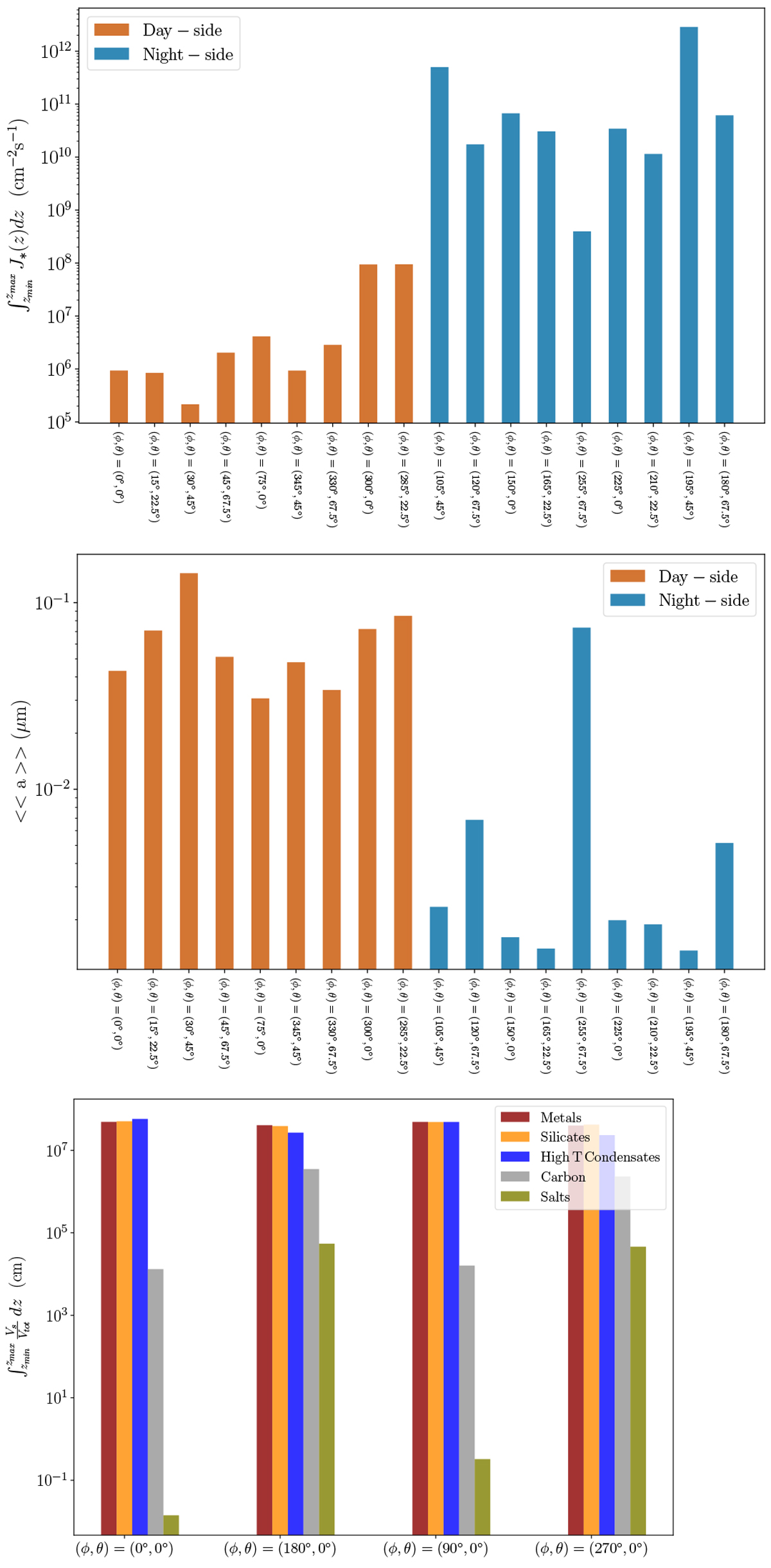
Fig. 8

Column integrated cloud properties for WASP-43b for 18 selected 1D profiles. Top: nucleation rate shown
[cm−2 s−1] with
(s = TiO2, SiO, C, KCl). Middle:
[μm] with nd (z) [cm−3] the local cloud particle number density. Bottom: material volume fraction:
.
Current usage metrics show cumulative count of Article Views (full-text article views including HTML views, PDF and ePub downloads, according to the available data) and Abstracts Views on Vision4Press platform.
Data correspond to usage on the plateform after 2015. The current usage metrics is available 48-96 hours after online publication and is updated daily on week days.
Initial download of the metrics may take a while.