Open Access

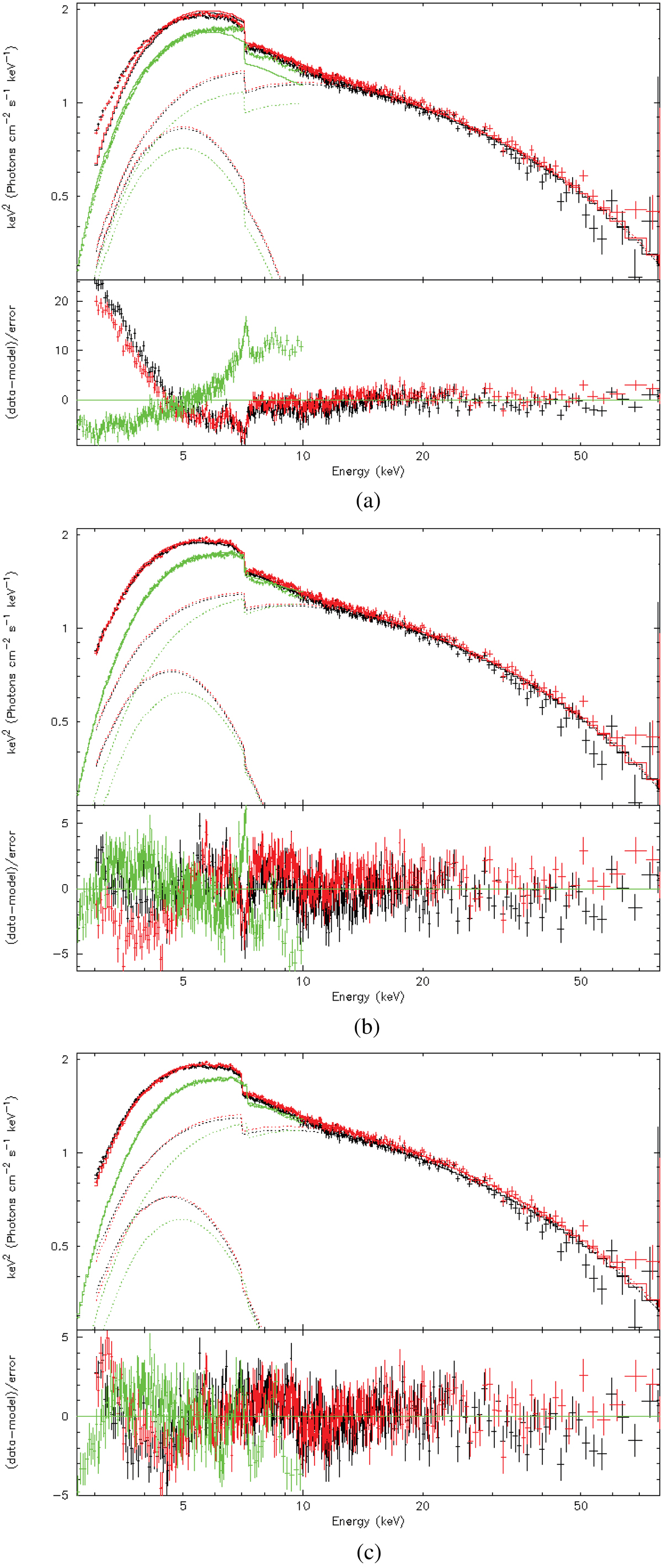
Fig. 16.

image

Absolutely simultaneous NuSTAR (black for FPMA, red for FPMB) and XMM-Newton (green) spectra from the long dim state observed on MJD 58174, showcasing the necessity of including both a DSH correction, and an energy calibration correction when fitting these X-ray spectra. Only when both corrections are applied do the spectra agree reasonably well. (a) Spectra without a DSH, and without an energy scale correction. (b) Spectra with a DSH, but without an energy scale correction. (c) Spectra with both a DSH, and an energy scale correction.

Current usage metrics show cumulative count of Article Views (full-text article views including HTML views, PDF and ePub downloads, according to the available data) and Abstracts Views on Vision4Press platform.

Data correspond to usage on the plateform after 2015. The current usage metrics is available 48-96 hours after online publication and is updated daily on week days.

Initial download of the metrics may take a while.