Free Access
Fig. 17.

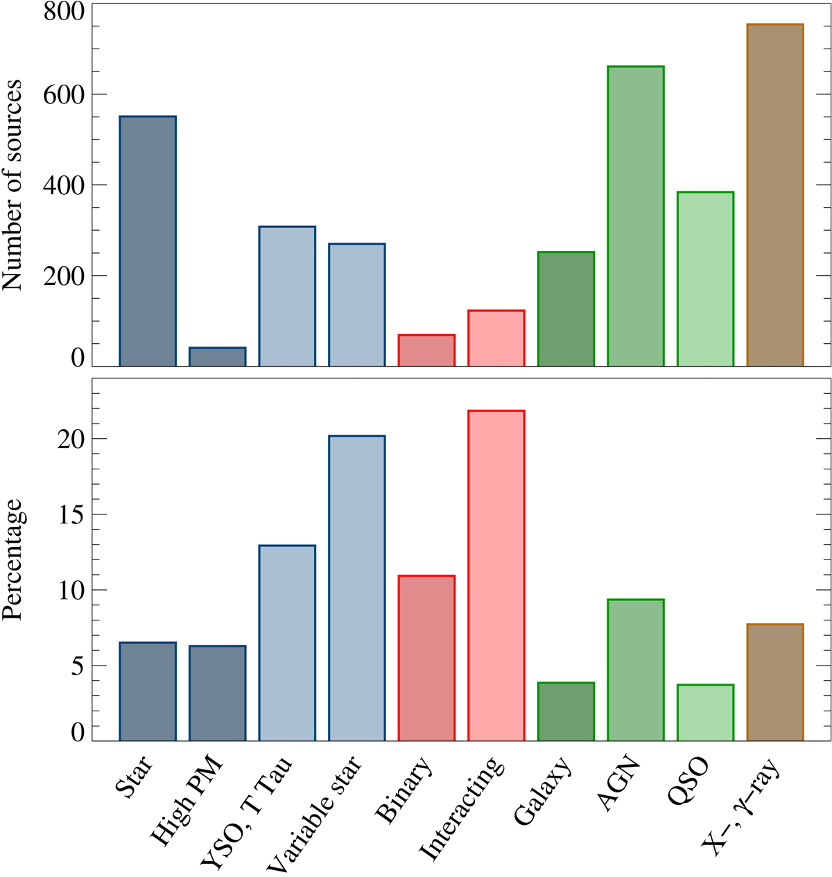
SIMBAD and SDSS categories of 3 343 tentative counterparts to 4XMM-DR9s variables with VAR_PROB ≤ 10−5. Upper panel: total number of matches. Lower panel: percentage of variables among all matched variable and non-variable class members.
Current usage metrics show cumulative count of Article Views (full-text article views including HTML views, PDF and ePub downloads, according to the available data) and Abstracts Views on Vision4Press platform.
Data correspond to usage on the plateform after 2015. The current usage metrics is available 48-96 hours after online publication and is updated daily on week days.
Initial download of the metrics may take a while.