Open Access

This article has an erratum: [https://doi.org/10.1051/0004-6361/202037792e]


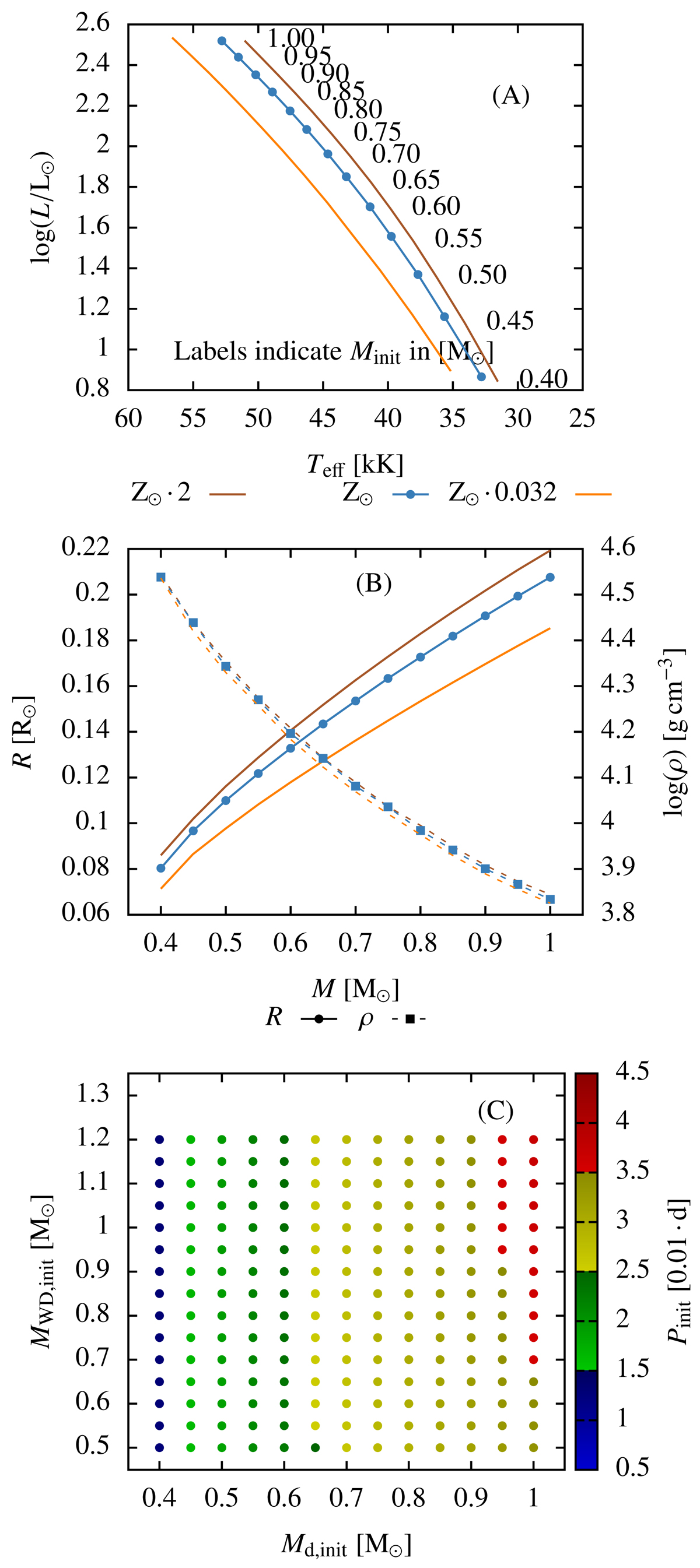
Fig. 2.

image

Relevant initial parameters of the utilized He-donor star models. Panel A: position of each model in the HR-diagram, with labels corresponding to initial mass in units of M. Colors indicate initial metalicity in units of the solar metalicity Z with the solar metalicity used in this study. Panel B: initial radius Rinit in units of the solar radius R and central density ρc with colors corresponding to metalicity as in panel A. Panel C: initial periods, according to the constraints discussed in Sect. 4.1 with respect to the initial masses of both components.

Current usage metrics show cumulative count of Article Views (full-text article views including HTML views, PDF and ePub downloads, according to the available data) and Abstracts Views on Vision4Press platform.

Data correspond to usage on the plateform after 2015. The current usage metrics is available 48-96 hours after online publication and is updated daily on week days.

Initial download of the metrics may take a while.