Open Access

This article has an erratum: [https://doi.org/10.1051/0004-6361/202037792e]


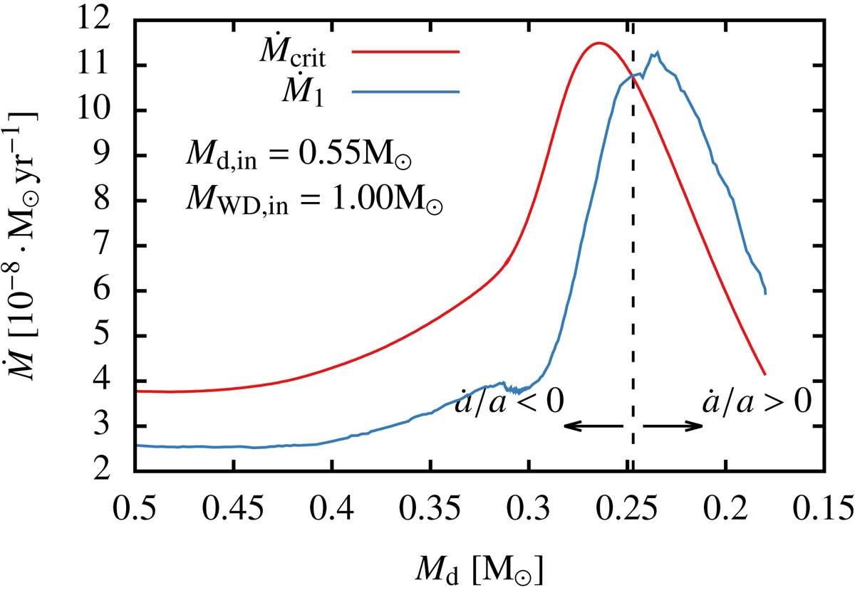
Fig. 5.

image

Comparison between the critical mass transfer rate crit for increasing a as defined in Eq. (6) and the actual mass transfer rate 1 for a representative system with respect to donor mass Md. Initial masses Md, in and MWD, in are as indicated.

Current usage metrics show cumulative count of Article Views (full-text article views including HTML views, PDF and ePub downloads, according to the available data) and Abstracts Views on Vision4Press platform.

Data correspond to usage on the plateform after 2015. The current usage metrics is available 48-96 hours after online publication and is updated daily on week days.

Initial download of the metrics may take a while.