Open Access

This article has an erratum: [https://doi.org/10.1051/0004-6361/202037792e]


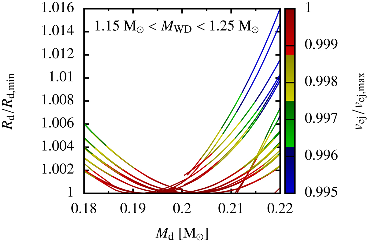
Fig. 6.

image

Mass-radius relationship of donor stars in the vicinity of the ejection velocity maximum. The mass-dependent donor star radius (Rd) is normalized to the minimum radius of that particular model sequence (Rd, min), the mass dependent ejection velocity, indicated by the color bar, (vej) is analogously normalized to the maximum ejection velocity of the same model sequence. For clarity, only tracks in the vicinity of an accretor mass in the range 1.15 M <  MWD <  1.25 M are shown.

Current usage metrics show cumulative count of Article Views (full-text article views including HTML views, PDF and ePub downloads, according to the available data) and Abstracts Views on Vision4Press platform.

Data correspond to usage on the plateform after 2015. The current usage metrics is available 48-96 hours after online publication and is updated daily on week days.

Initial download of the metrics may take a while.