Open Access

This article has an erratum: [https://doi.org/10.1051/0004-6361/202037792e]


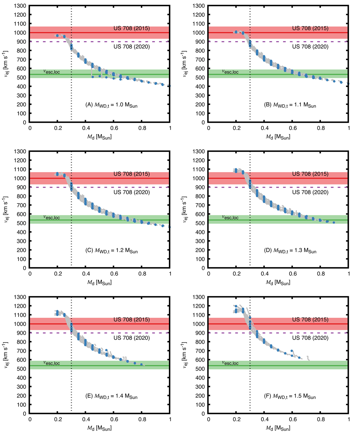
Fig. 8.

image

Ejection velocity spectra for indicated terminal accretor masses (MWD, t). Md and vej are the terminal mass and expected ejection velocity with respect to the center of mass of the progenitor binary of the remnant runaway hot subdwarf. The blue dots indicate the exact state of the system when the accretor reaches the indicated MWD, t. Lines indicate the evolution of the system in an envelope from MWD, t − 0.025 ⋅ M <  MWD, t <  MWD, t + 0.025 ⋅ M. The dotted purple line indicates Mrem = 0.3 M, below which core helium burning ceases. The inferred ejection velocity of US 708 according to Geier et al. (2015) and current proper motions provided by Gaia DR2 (Gaia Collaboration 2018), represented by the solid red and dashed purple lines respectively, and local Galactic escape velocity according to Piffl et al. (2014), including error bars, are given for orientation.

Current usage metrics show cumulative count of Article Views (full-text article views including HTML views, PDF and ePub downloads, according to the available data) and Abstracts Views on Vision4Press platform.

Data correspond to usage on the plateform after 2015. The current usage metrics is available 48-96 hours after online publication and is updated daily on week days.

Initial download of the metrics may take a while.