Open Access
Fig. 1

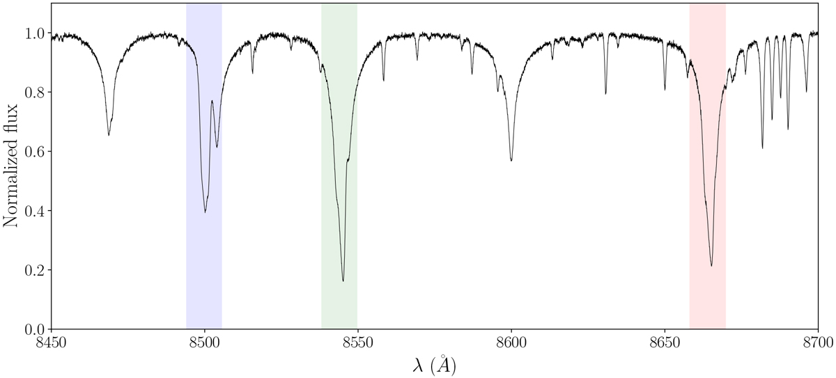
Typical normalized UVES spectrum plotted over the RVS spectral window. The calcium IR triplet at 8498, 8552, and 8662 angstroms for VZ Pup at ϕ = 0.91 is presented. In the following, the spectral line profiles are plotted over the [−200,+200] km s−1 velocity range, represented by vertical strips around each line.
Current usage metrics show cumulative count of Article Views (full-text article views including HTML views, PDF and ePub downloads, according to the available data) and Abstracts Views on Vision4Press platform.
Data correspond to usage on the plateform after 2015. The current usage metrics is available 48-96 hours after online publication and is updated daily on week days.
Initial download of the metrics may take a while.