Open Access

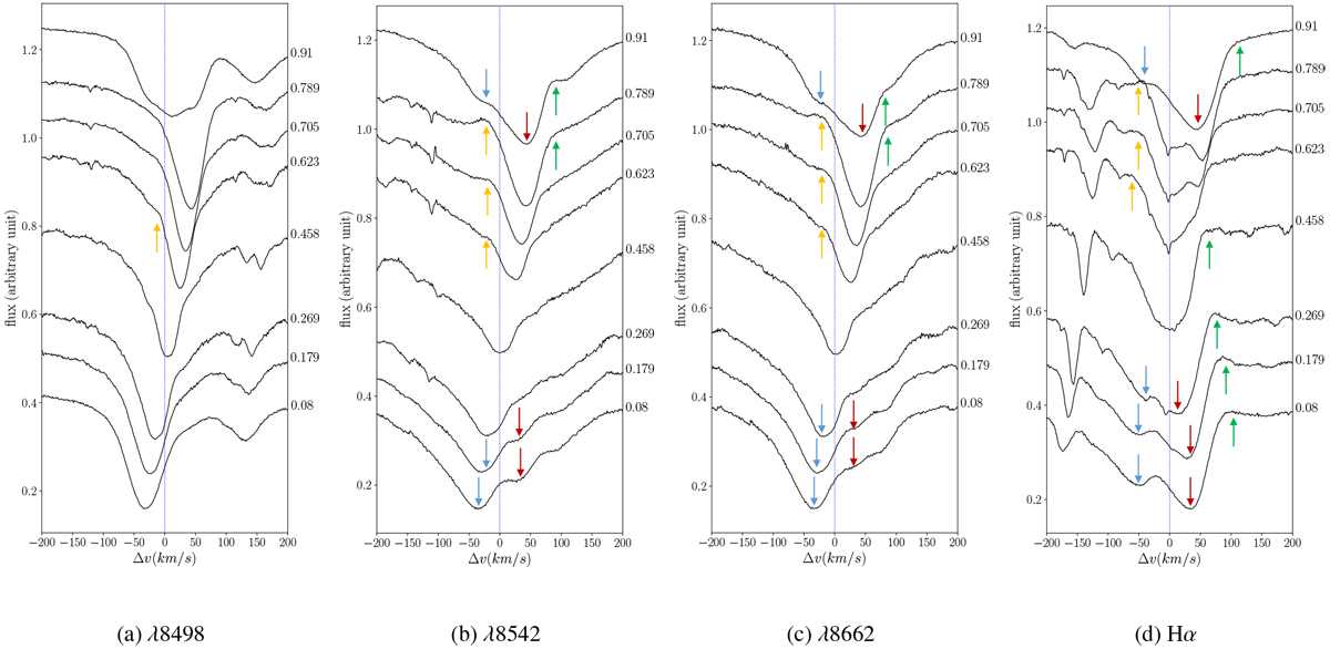
Fig. 4

image

VZ Pup, 23.17d. Blue arrows show blueshifted absorption due to the main shock. Red arrows are redshifted absorption of the infalling atmosphere. Green arrows are redshifted emission due to a P Cygni profile. Orange arrows are blueshifted emission due to an inverse P Cygni profile.

Current usage metrics show cumulative count of Article Views (full-text article views including HTML views, PDF and ePub downloads, according to the available data) and Abstracts Views on Vision4Press platform.

Data correspond to usage on the plateform after 2015. The current usage metrics is available 48-96 hours after online publication and is updated daily on week days.

Initial download of the metrics may take a while.