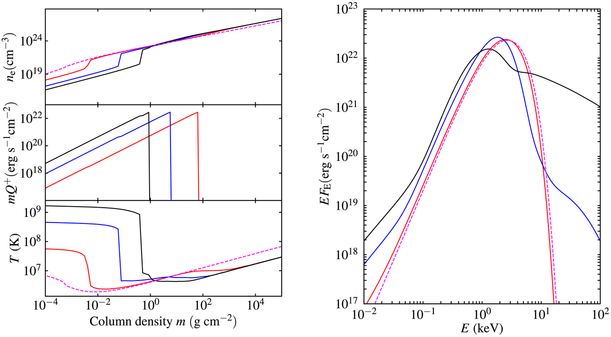
Fig. 3.

Atmosphere structure (left) and the spectrum of the escaping radiation (right) for mono-energetic return current. Left panels: dependence of the electron number density ne, energy loss of the return current mQ+, and the temperature T on the column density. The red curves correspond to a model with Lorentz factor γ0 = 500, the blue curves are for γ0 = 50, and the black curves are for γ0 = 10. The parameters are Teff, h = 5 MK, Teff, i = 1.6 MK, and log g = 14.3. The corresponding structure and the spectrum for model without external heating (Teff, i = 5 MK, Teff, h = 0) are shown with the magenta dashed curve.
Current usage metrics show cumulative count of Article Views (full-text article views including HTML views, PDF and ePub downloads, according to the available data) and Abstracts Views on Vision4Press platform.
Data correspond to usage on the plateform after 2015. The current usage metrics is available 48-96 hours after online publication and is updated daily on week days.
Initial download of the metrics may take a while.