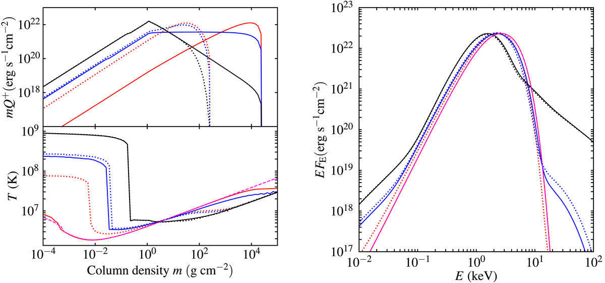
Fig. 4.

Atmosphere structure (left) and the spectrum of escaping radiation (right) for a power-law distribution of bombarding particles. Left panels: energy loss of the return current mQ+ and the temperature T dependence on the column density. The red curves correspond to δ = 1, the blue curves to δ = 2, and the black curves to δ = 3. Other parameters are given in Table 1. The dotted curves show the corresponding results when also the bremsstrahlung energy losses are taken into account. The dashed magenta curves correspond to the temperature structure and escaping spectrum of the atmosphere without external heating (almost completely overlapping the red solid curve).
Current usage metrics show cumulative count of Article Views (full-text article views including HTML views, PDF and ePub downloads, according to the available data) and Abstracts Views on Vision4Press platform.
Data correspond to usage on the plateform after 2015. The current usage metrics is available 48-96 hours after online publication and is updated daily on week days.
Initial download of the metrics may take a while.