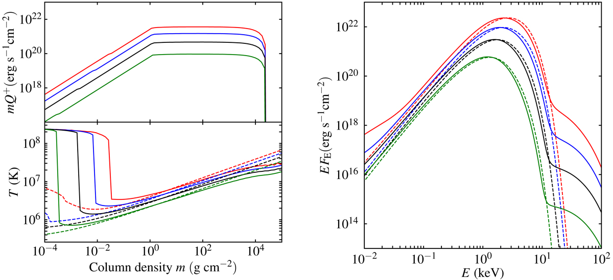
Fig. 7.

Atmosphere structure (left) and the spectrum of escaping radiation (right) for a power-law distribution of bombarding particles with δ = 2 and γmin = 10 for different NS effective temperatures: Teff, h = 2 (green solid curves), 3 (black), 4 (blue), and 5 MK (red). Other NS atmosphere parameters are given in Table 1. The dashed curves correspond to the temperature structure and escaping spectrum of the atmosphere without external heating (for Teff, i = 2, 3, 4, and 5 MK).
Current usage metrics show cumulative count of Article Views (full-text article views including HTML views, PDF and ePub downloads, according to the available data) and Abstracts Views on Vision4Press platform.
Data correspond to usage on the plateform after 2015. The current usage metrics is available 48-96 hours after online publication and is updated daily on week days.
Initial download of the metrics may take a while.