Open Access
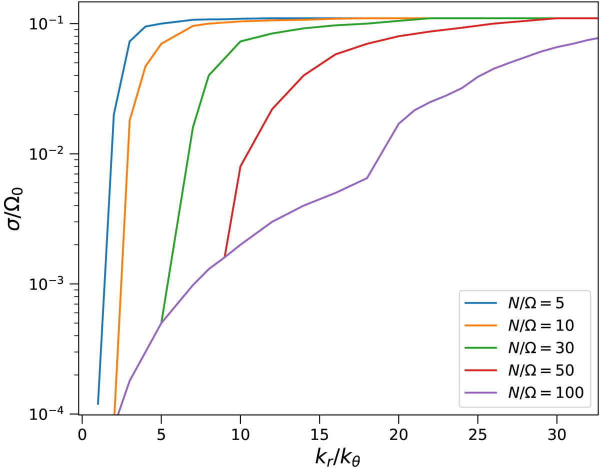
Fig. 11.

Spatial maximum of the instability growth rate for the m = 1 mode calculated from Eq. (C.4), as a function of the ratio of poloidal wavenumbers, for different values of N/Ω0, keeping Pr = 10−2 and for the background azimuthal velocity and magnetic fields of case R2.
Current usage metrics show cumulative count of Article Views (full-text article views including HTML views, PDF and ePub downloads, according to the available data) and Abstracts Views on Vision4Press platform.
Data correspond to usage on the plateform after 2015. The current usage metrics is available 48-96 hours after online publication and is updated daily on week days.
Initial download of the metrics may take a while.