Open Access
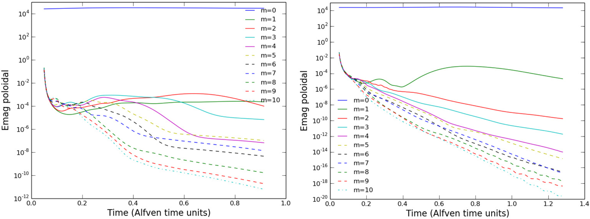
Fig. 13.

Temporal evolution of the poloidal magnetic energy in the first 11 azimuthal wavenumbers for case C9 (left) and R1 (right): compared to cases C2 and R2, the value of Lo was increased to Lo = 10−2 for the cylindrical case and Lo = 2.5 × 10−3 for the radial case.
Current usage metrics show cumulative count of Article Views (full-text article views including HTML views, PDF and ePub downloads, according to the available data) and Abstracts Views on Vision4Press platform.
Data correspond to usage on the plateform after 2015. The current usage metrics is available 48-96 hours after online publication and is updated daily on week days.
Initial download of the metrics may take a while.