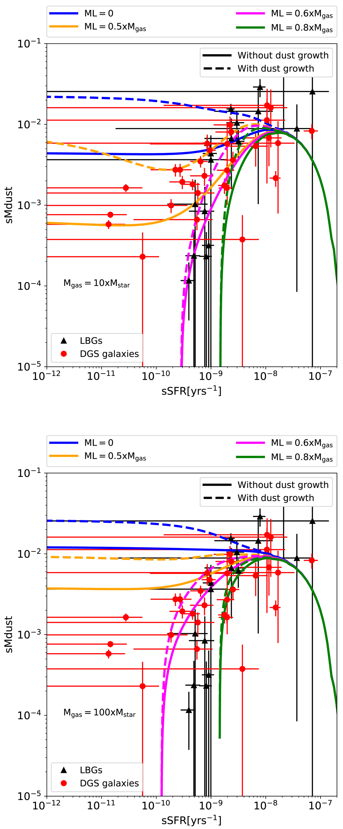
Fig. 6.

sMdust vs. sSFR for LBGs (black triangles) and DGS galaxies (red dots) overplotted with different models with two extreme values of Mgas: equal to 10 × Mstars (upper panel) and to 100 × Mstars (lower panel). Different combinations for the outflow efficiency are selected as mentioned in the legend. Both cases with and without dust growth in the ISM are shown. For all the models we select a value of τ = 300 Myr in Eq. (1), α = 1.35 for the top-heavy IMF in Eq. (3), and Mswept = 6800 M⊙ in Eq. (8), together with a dust condensation fraction for SNe II of 50%.
Current usage metrics show cumulative count of Article Views (full-text article views including HTML views, PDF and ePub downloads, according to the available data) and Abstracts Views on Vision4Press platform.
Data correspond to usage on the plateform after 2015. The current usage metrics is available 48-96 hours after online publication and is updated daily on week days.
Initial download of the metrics may take a while.