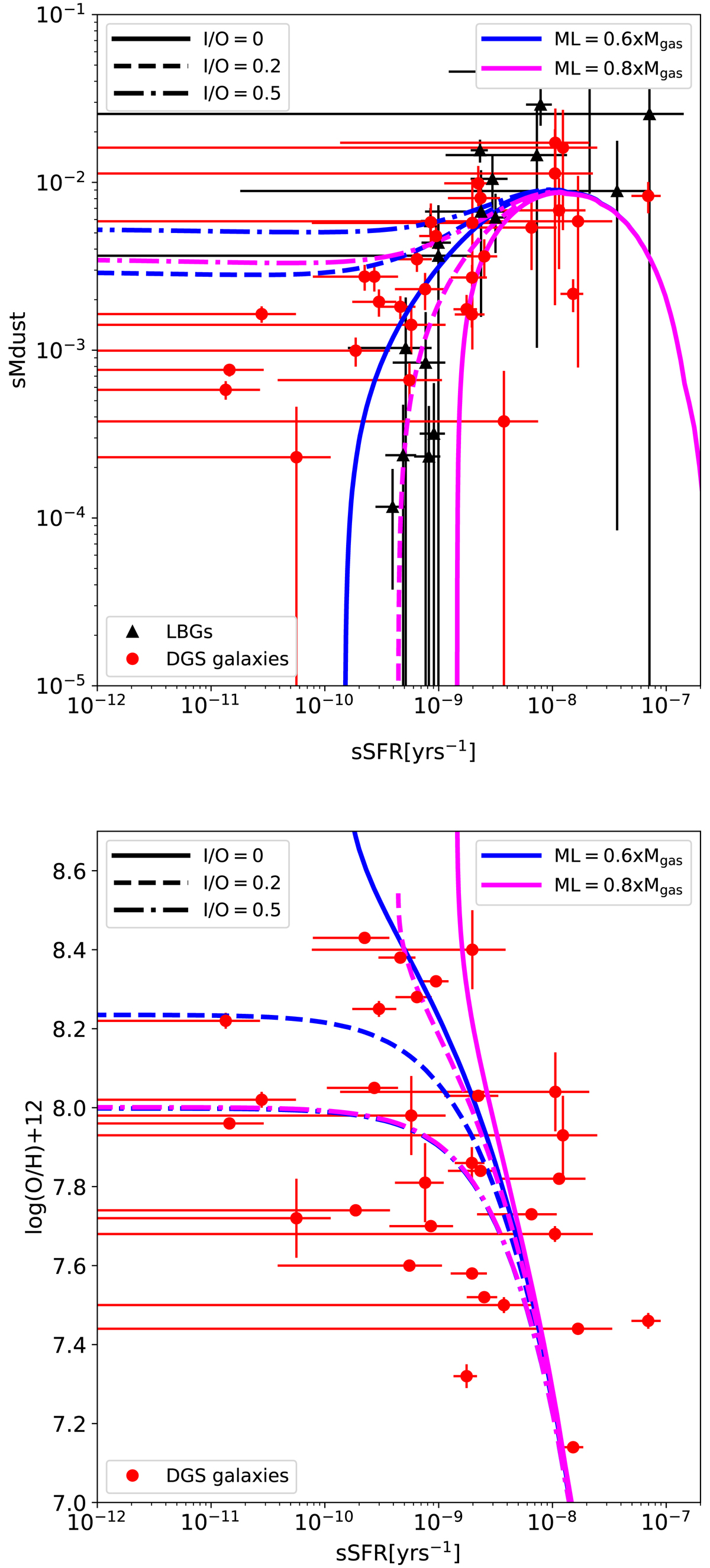
Fig. 8.

Upper panel: sMdust vs. sSFR for LBGs (black triangles) and DGS galaxies (red dots) overplotted with models characterised by different choices of the mass-loading factor and inflows as indicated in the legend. For all models, we select a value of τ = 300 Myr in Eq. (1), α = 1.35 for the top-heavy IMF in Eq. (3), and Mswept = 6800 M⊙ in Eq. (8), Mgas = 50 × Mstars, and a dust condensation fraction for SNe II of 50%. Lower panel: metallicity vs. sSFR for DGS galaxies overplotted with the same models as in the upper panel.
Current usage metrics show cumulative count of Article Views (full-text article views including HTML views, PDF and ePub downloads, according to the available data) and Abstracts Views on Vision4Press platform.
Data correspond to usage on the plateform after 2015. The current usage metrics is available 48-96 hours after online publication and is updated daily on week days.
Initial download of the metrics may take a while.