Open Access
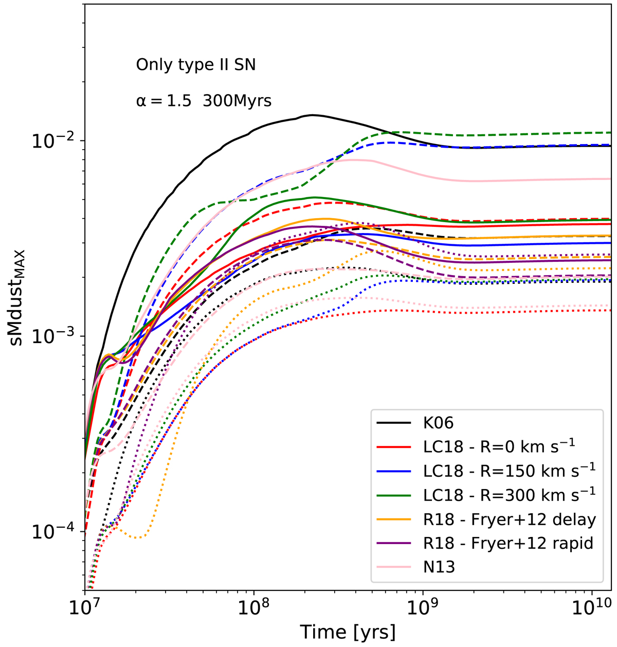
Fig. 9.

Maximum possible sMdust for SNe II computed for different choices of the theoretical metal yields for massive stars listed in the figure. Solid, dashed, and dotted lines indicate the upper limits for sMdust obtained for silicate (only pyroxene), carbon, and metallic iron dust, respectively.
Current usage metrics show cumulative count of Article Views (full-text article views including HTML views, PDF and ePub downloads, according to the available data) and Abstracts Views on Vision4Press platform.
Data correspond to usage on the plateform after 2015. The current usage metrics is available 48-96 hours after online publication and is updated daily on week days.
Initial download of the metrics may take a while.