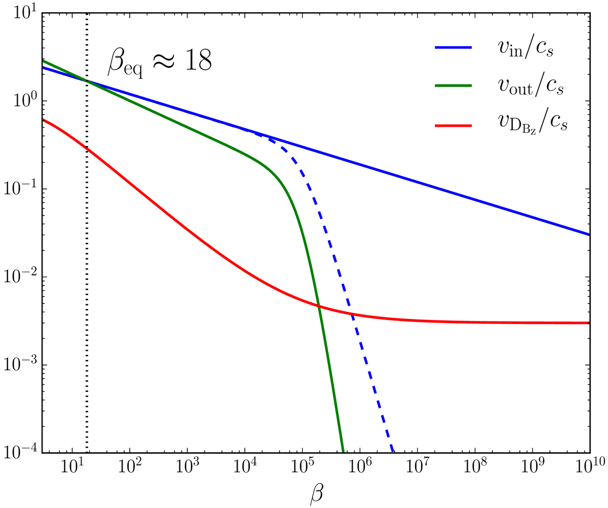
Fig. 2.

Prescriptions for vin, vout, and vDBz normalized by the sound speed as a function of β. The solid blue line is supposed to represent a disk where the magnetic flux’s advection by turbulent accretion is more efficient than diffusion at large β. The dashed blue line gives vin(β) in the case where the magnetic flux’s advection by turbulent accretion is less efficient than diffusion at large β as studied in Sect. 3.2. The dotted black line gives the value of βeq.
Current usage metrics show cumulative count of Article Views (full-text article views including HTML views, PDF and ePub downloads, according to the available data) and Abstracts Views on Vision4Press platform.
Data correspond to usage on the plateform after 2015. The current usage metrics is available 48-96 hours after online publication and is updated daily on week days.
Initial download of the metrics may take a while.