Free Access

Fig. 2.

image

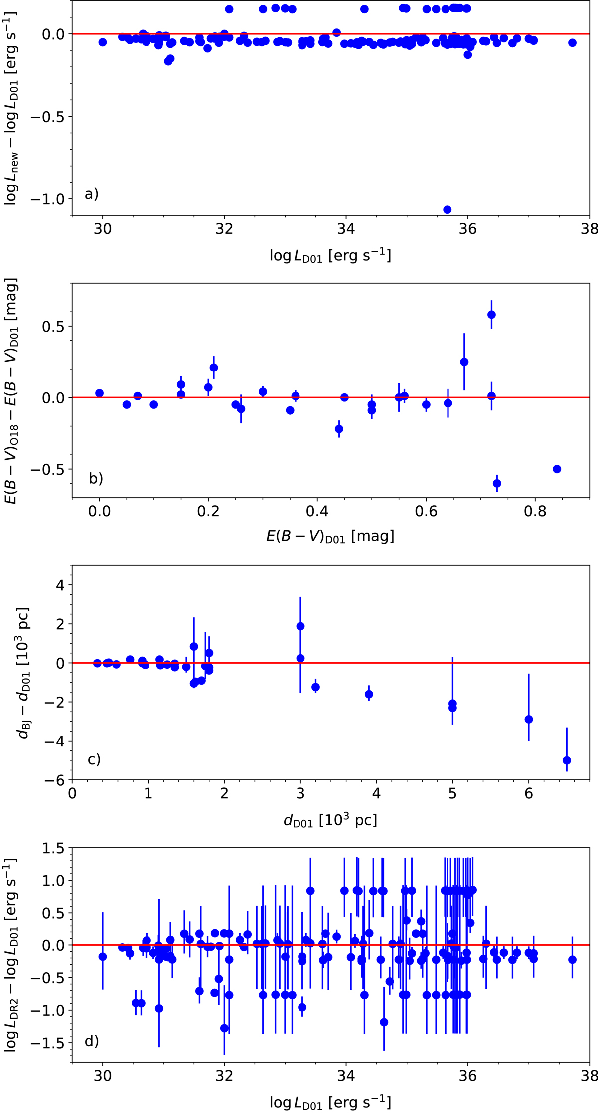
Comparison with the parameters used in D01. From top to bottom: a) difference between the luminosities Lnew calculated with Eq. (1) using reddening and distances from D01 and the luminosities LD01, b) difference between the reddening values E(B − V)O18 from Özdönmez et al. (2018) and E(B − V)D01, c) difference between the distances dBJ from Bailer-Jones et al. (2018) and dD01, and d) differences between the luminosities LDR2 calculated using E(B − V)O18 and dBJ with LD01. All differences are plotted versus the respective values from D01.

Current usage metrics show cumulative count of Article Views (full-text article views including HTML views, PDF and ePub downloads, according to the available data) and Abstracts Views on Vision4Press platform.

Data correspond to usage on the plateform after 2015. The current usage metrics is available 48-96 hours after online publication and is updated daily on week days.

Initial download of the metrics may take a while.