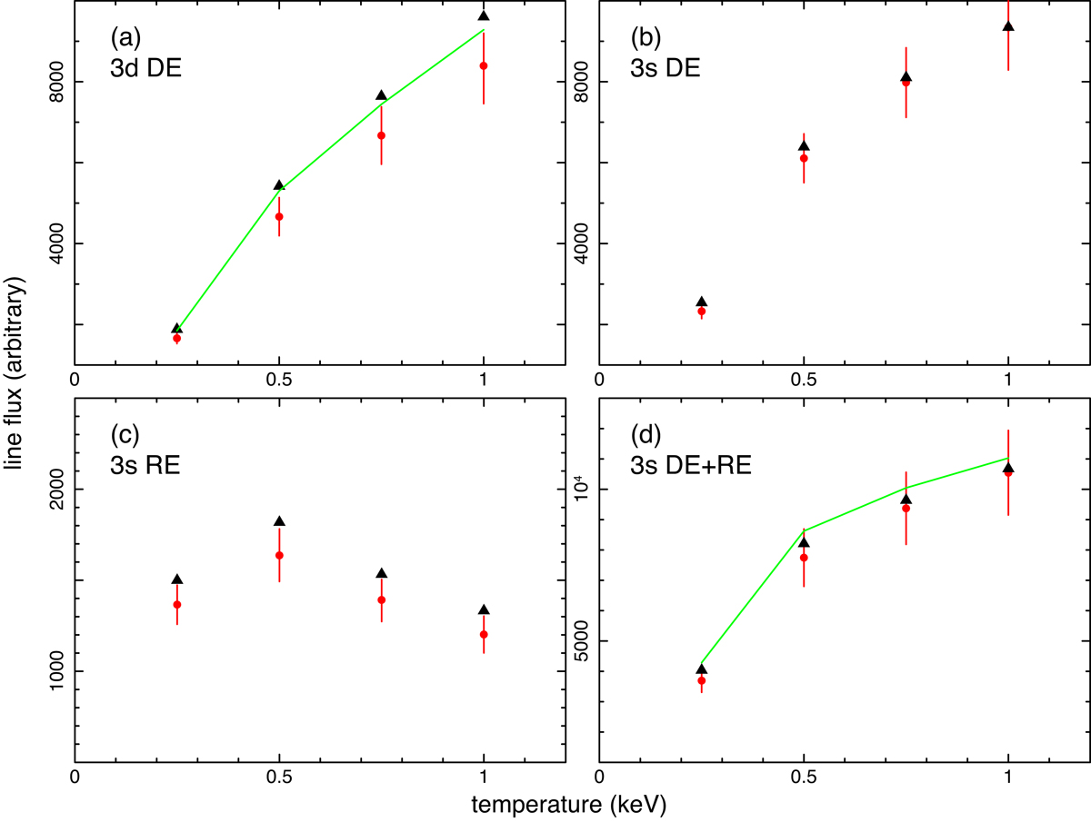
Fig. 7.

Comparison of SPEX calculation and EBIT measurement on the Ne-like Fe excitation. (a) Direct excitation of the 3d manifold, (b) direct excitation of the 3s manifold, (c) resonant excitation onto the 3s levels, and (d) combined direct and resonant excitation of the 3s, from the original SPEX-FAC (black triangle), SPEX-ADAS (green line), and the EBIT experiment (red data). The SPEX-ADAS calculation does not separate direct and resonant excitation channels.
Current usage metrics show cumulative count of Article Views (full-text article views including HTML views, PDF and ePub downloads, according to the available data) and Abstracts Views on Vision4Press platform.
Data correspond to usage on the plateform after 2015. The current usage metrics is available 48-96 hours after online publication and is updated daily on week days.
Initial download of the metrics may take a while.