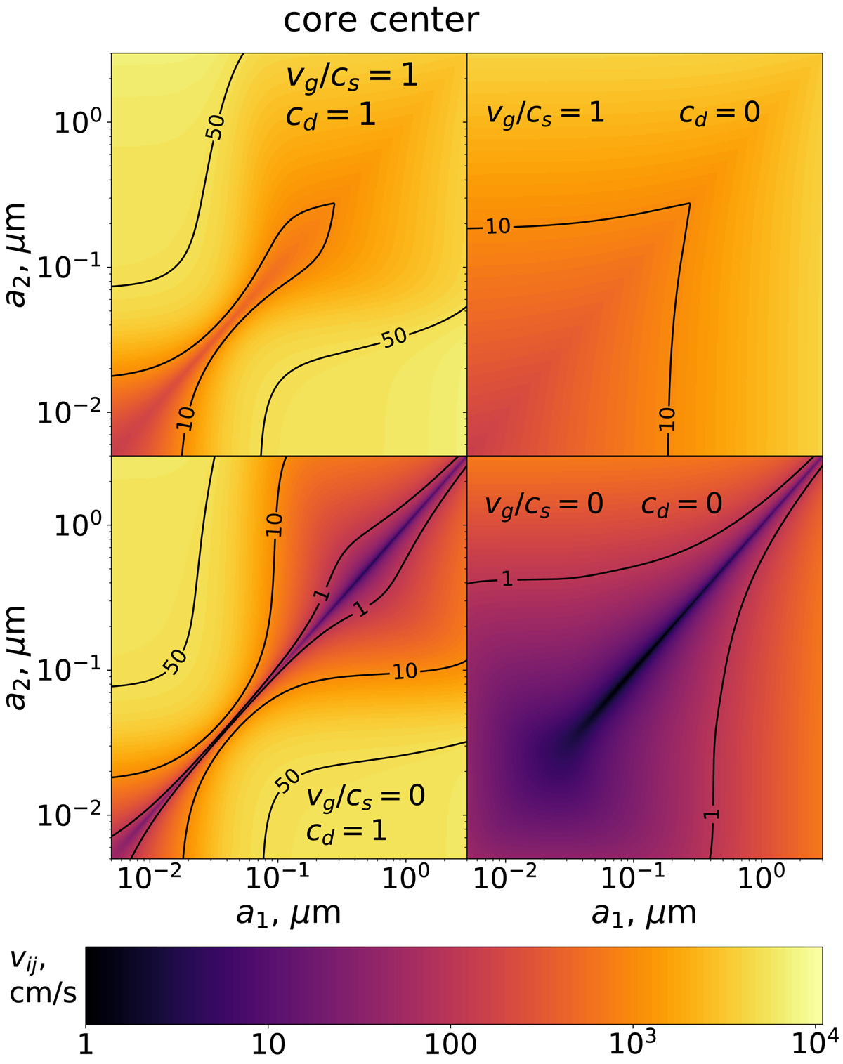
Fig. 2.

Collision velocities calculated from Eq. (12) in the space of the sizes of the collision partners. The turbulent velocity vg and the constant cd, which describes the speed of the ion-neutral drift (see Eq. (5)), are different in each panel, as labeled. The isothermal sound speed cs is given by . The labeled contours are at 1, 10, and 50 m per sec.
Current usage metrics show cumulative count of Article Views (full-text article views including HTML views, PDF and ePub downloads, according to the available data) and Abstracts Views on Vision4Press platform.
Data correspond to usage on the plateform after 2015. The current usage metrics is available 48-96 hours after online publication and is updated daily on week days.
Initial download of the metrics may take a while.