Free Access
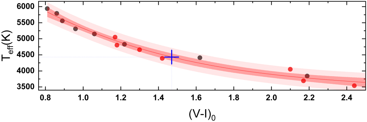
Fig. 12.

Temperature vs. color for dwarfs (black dots) and giants (red dots) from Drilling et al. (2000) and the best 3th order polynomial fit. Confidence of 95% and prediction bands are shown by dashed and dashed-light areas, respectively. The position of OGLE-BLG-ECL-157529 during the primary eclipse is also shown.
Current usage metrics show cumulative count of Article Views (full-text article views including HTML views, PDF and ePub downloads, according to the available data) and Abstracts Views on Vision4Press platform.
Data correspond to usage on the plateform after 2015. The current usage metrics is available 48-96 hours after online publication and is updated daily on week days.
Initial download of the metrics may take a while.