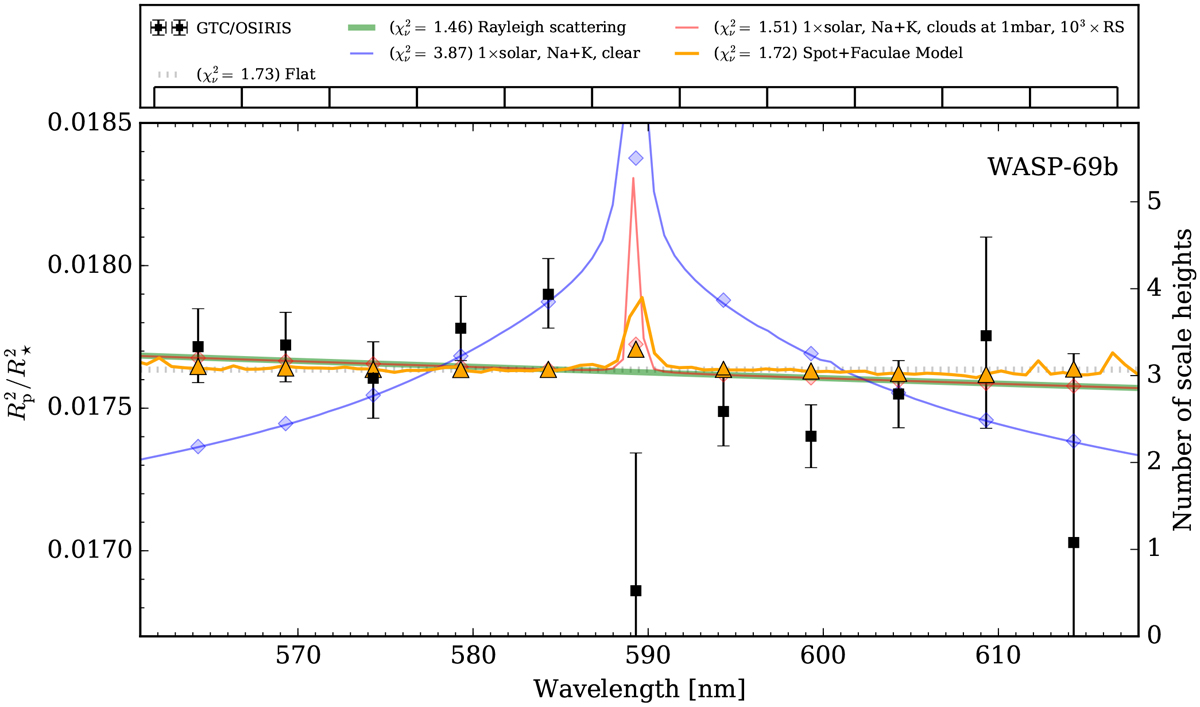
Fig. A.2

Transmission spectrum of WASP-69b around the Na I doublet (black squares) compared to several atmosphere models. In blue, a model for a clear atmosphere and solar abundance is shown. The gray dashed line indicates the model of flat transmission spectrum. The slope expected in an atmosphere affected solely by Rayleigh scattering is shown in green. In red, we show the model of an atmosphere with clouds at 1 mbar and Rayleigh scattering enhanced by a factor of 1000. In orange, the best fitted unocculted spots and faculae model is shown.
Current usage metrics show cumulative count of Article Views (full-text article views including HTML views, PDF and ePub downloads, according to the available data) and Abstracts Views on Vision4Press platform.
Data correspond to usage on the plateform after 2015. The current usage metrics is available 48-96 hours after online publication and is updated daily on week days.
Initial download of the metrics may take a while.