Free Access
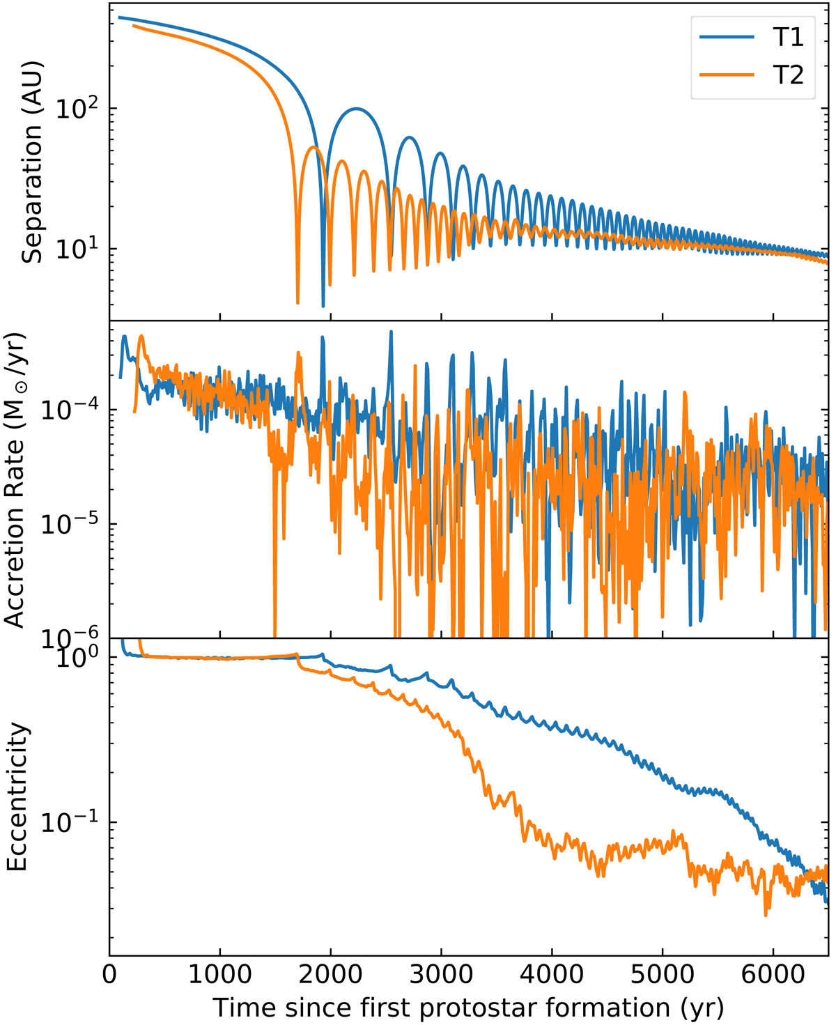
Fig. 3.

Evolution of the binary separation (top), accretion rate (middle) and eccentricity (bottom) since protostar formation of the first sink particle for the T1 and T2 cases in blue and orange, respective. At early times, high accretion rates are clearly correlated with periastrons, in both T1 and T2.
Current usage metrics show cumulative count of Article Views (full-text article views including HTML views, PDF and ePub downloads, according to the available data) and Abstracts Views on Vision4Press platform.
Data correspond to usage on the plateform after 2015. The current usage metrics is available 48-96 hours after online publication and is updated daily on week days.
Initial download of the metrics may take a while.