Free Access
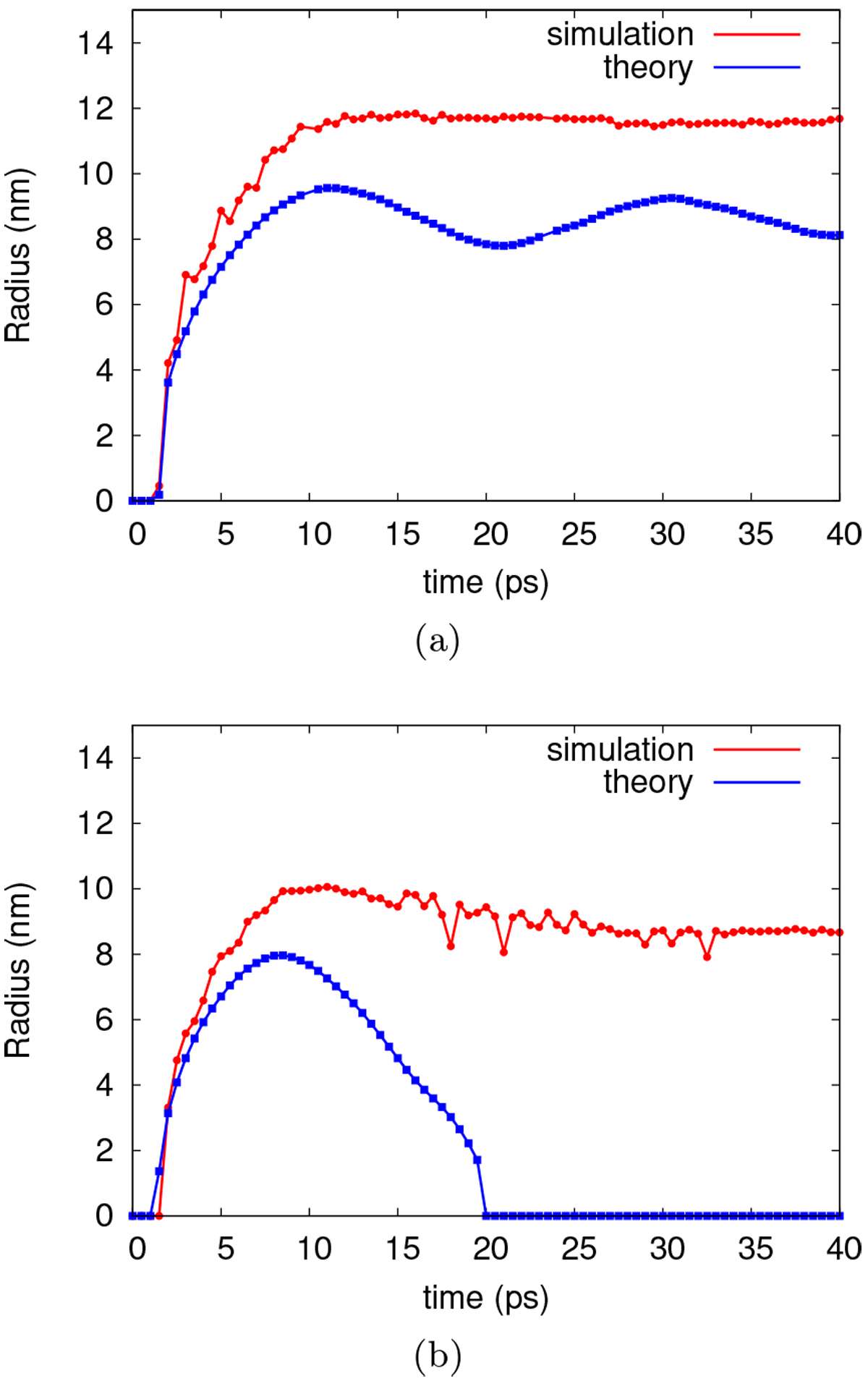
Fig. 5

Time evolution of the contact radius, ac, in the collision of two NPs of radius R = 20 nm, colliding with velocity v = 600 m s−1 for sp3 fractions of (a) sp3 = 20% and (b) sp3 = 55%. The simulation results are compared to the estimate of JKR theory, Eq. (2).
Current usage metrics show cumulative count of Article Views (full-text article views including HTML views, PDF and ePub downloads, according to the available data) and Abstracts Views on Vision4Press platform.
Data correspond to usage on the plateform after 2015. The current usage metrics is available 48-96 hours after online publication and is updated daily on week days.
Initial download of the metrics may take a while.