Open Access
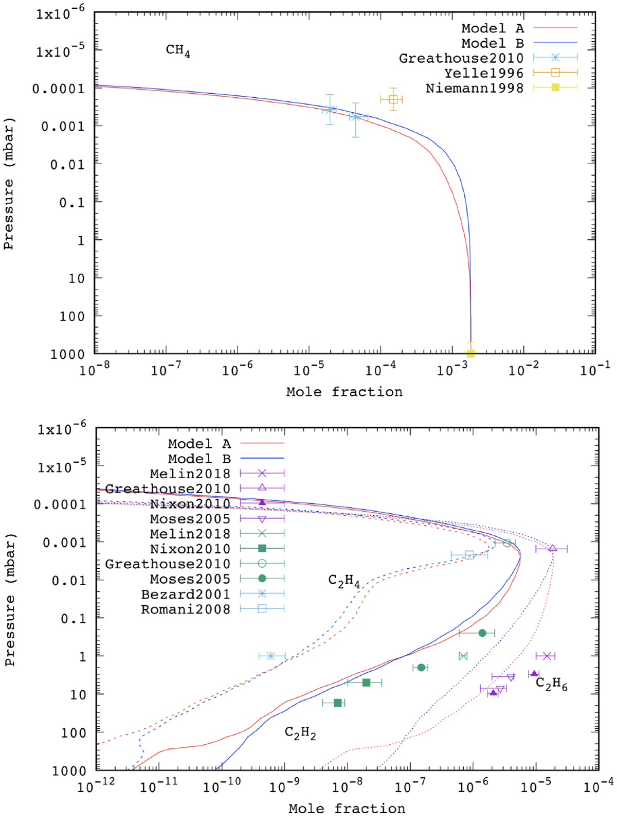
Fig. 5

Top: mole fraction profiles of CH4 using the Kzz Models A (red line) and B (blue line). Observations of Greathouse et al. (2010) are given for comparison. Bottom: mole fraction profiles of C2H2, C2H4, and C2H6 (same layout). Several observations are given for comparison (see Moses & Poppe 2017 for details).
Current usage metrics show cumulative count of Article Views (full-text article views including HTML views, PDF and ePub downloads, according to the available data) and Abstracts Views on Vision4Press platform.
Data correspond to usage on the plateform after 2015. The current usage metrics is available 48-96 hours after online publication and is updated daily on week days.
Initial download of the metrics may take a while.