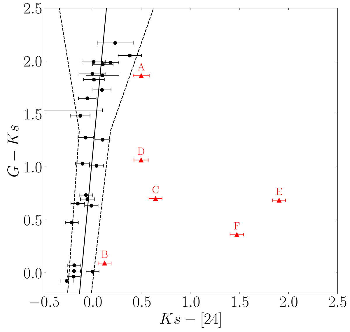
Fig. 5.

(G − Ks)−(Ks − [24]) colour–colour diagram of the members of IC 4665 with 24 μm photometry. The locus of photospheric emission is indicated by the solid line and the 3σ uncertainties are represented by the dashed lines. The members with IR excess are indicated as red triangles, and the labelling code is the same as in the caption of Fig. 3.
Current usage metrics show cumulative count of Article Views (full-text article views including HTML views, PDF and ePub downloads, according to the available data) and Abstracts Views on Vision4Press platform.
Data correspond to usage on the plateform after 2015. The current usage metrics is available 48-96 hours after online publication and is updated daily on week days.
Initial download of the metrics may take a while.