Free Access

Fig. E.1

image

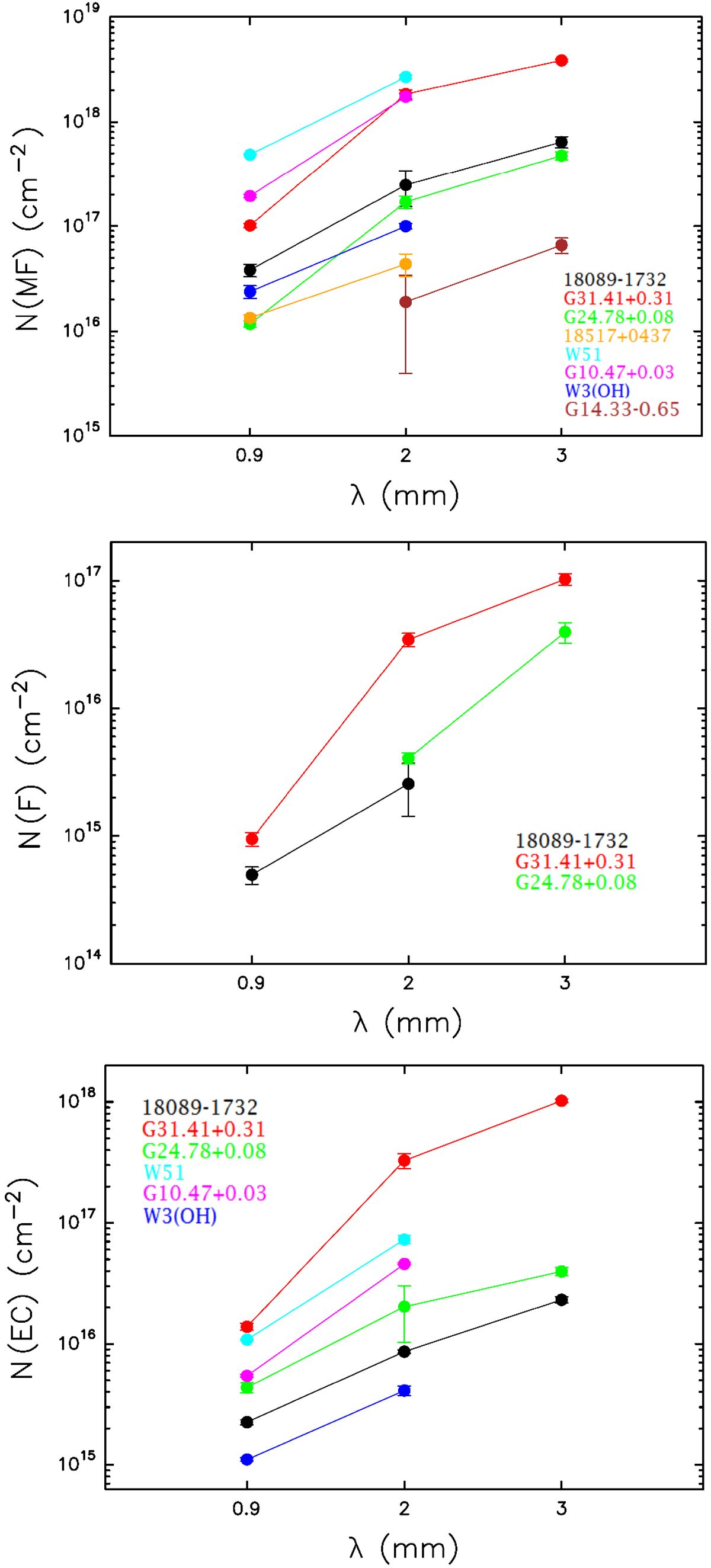
Total molecular column densities of MF (upper panel, listed in Table 6), F (middle panel, Table 8), and EC (lower panel, Table 9) as a function of the observed waveband, in sources where the molecule was detected in more than one band.

Current usage metrics show cumulative count of Article Views (full-text article views including HTML views, PDF and ePub downloads, according to the available data) and Abstracts Views on Vision4Press platform.

Data correspond to usage on the plateform after 2015. The current usage metrics is available 48-96 hours after online publication and is updated daily on week days.

Initial download of the metrics may take a while.