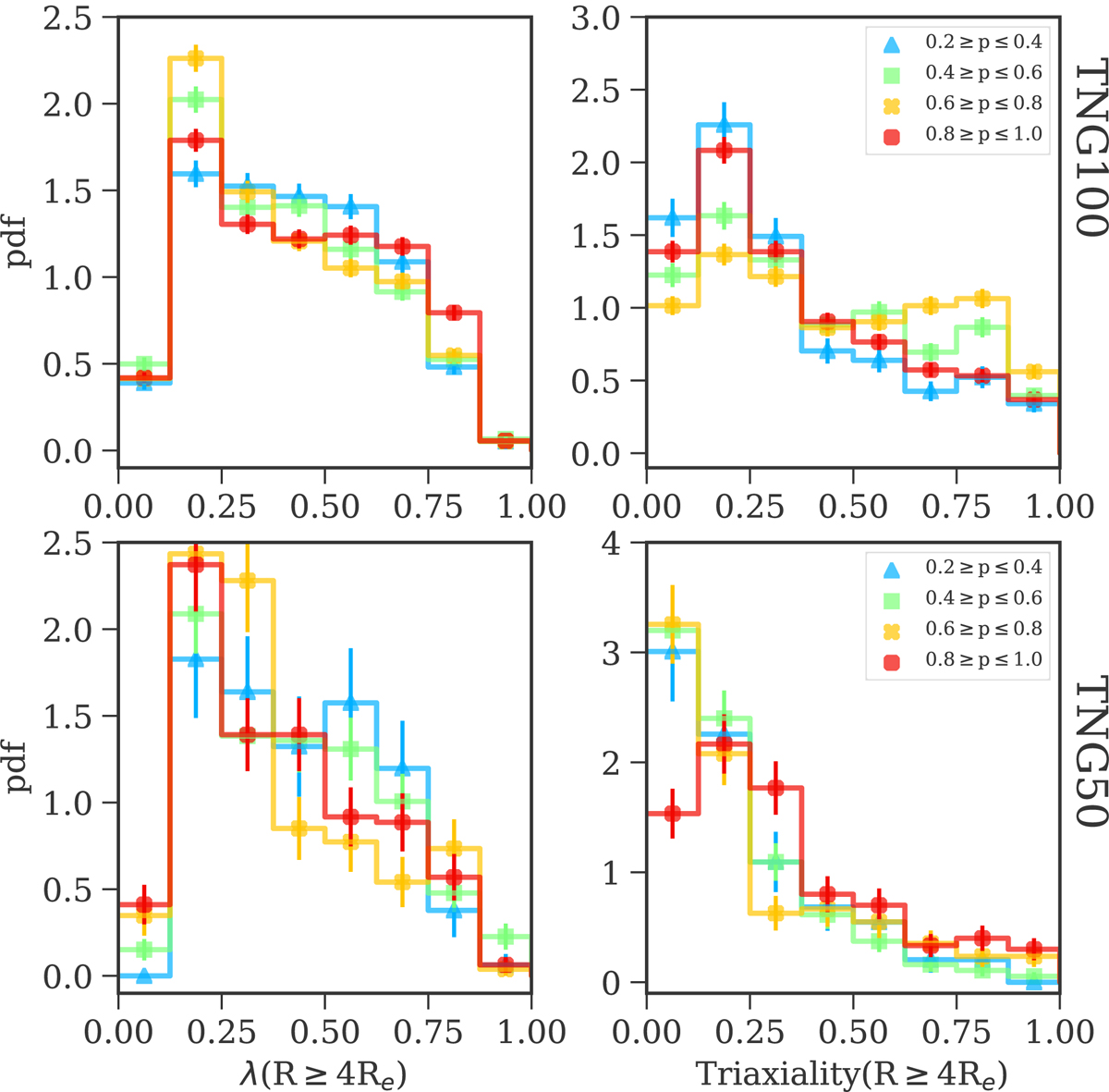
Fig. 6.

Distribution of λ parameter and triaxiality in the stellar halos (i.e. at R ≥ 4 Re) for different intrinsic shapes in the central regions, parametrized by the intermediate to major axis ratio p(1 Re). TNG100 and TNG50 galaxies are shown separately, in the top and bottom panels respectively. These distributions are not systematically dependent on p(1 Re), and thus the stellar halo spin and triaxiality remain unbiased after implementing a sample selection based on p(1 Re).
Current usage metrics show cumulative count of Article Views (full-text article views including HTML views, PDF and ePub downloads, according to the available data) and Abstracts Views on Vision4Press platform.
Data correspond to usage on the plateform after 2015. The current usage metrics is available 48-96 hours after online publication and is updated daily on week days.
Initial download of the metrics may take a while.