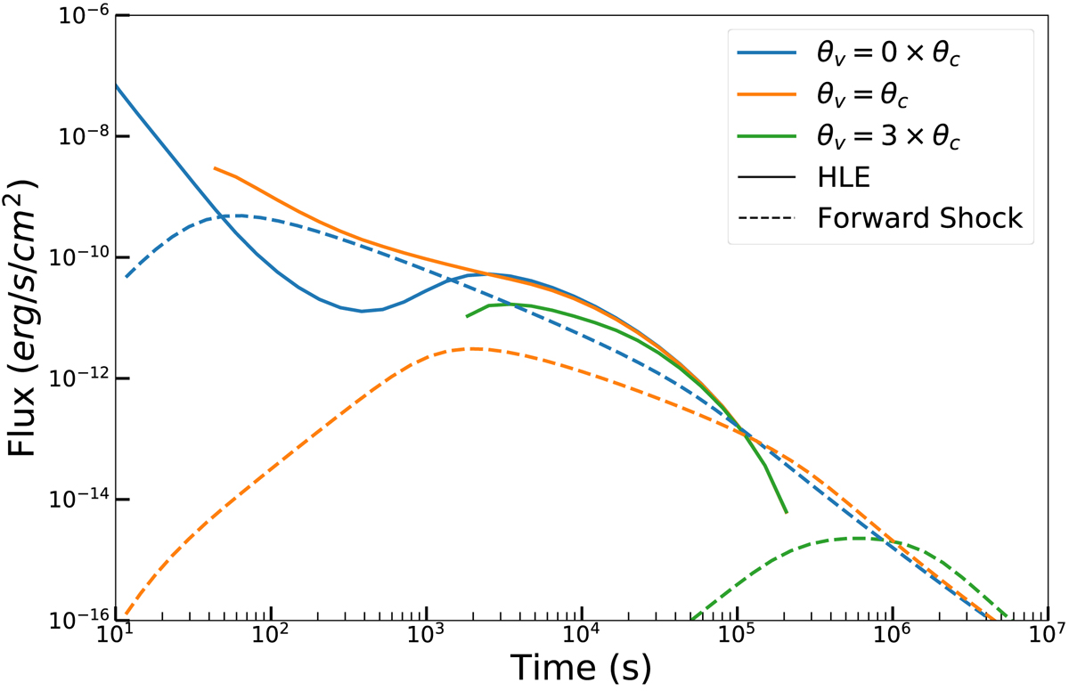
Fig. 7.

On-axis (θv = 0 × θc), edge (θv = θc), and off-axis (θv = 3 × θc) views of HLE (continuous line) and forward shock (dashed lines) models used in O20 to fit the light curve of GRB 100906A. The light curves are integrated in the energy range 0.5 − 10 keV. HLE model parameters: Γc = 160, R0 = 3 × 1015 cm and θc = 3.3° and θE = 4.4°, spectrum: SBPL, αs = 0.67, βs = 3.0 and νpeak = 100 keV, jet structure: Gaussian. Forward shock model parameters: n = 15 cm−3, p = 2.1, ϵe = 0.03, ϵB = 2 × 10−2, EK,ISO = 5 × 1053 erg.
Current usage metrics show cumulative count of Article Views (full-text article views including HTML views, PDF and ePub downloads, according to the available data) and Abstracts Views on Vision4Press platform.
Data correspond to usage on the plateform after 2015. The current usage metrics is available 48-96 hours after online publication and is updated daily on week days.
Initial download of the metrics may take a while.