Free Access

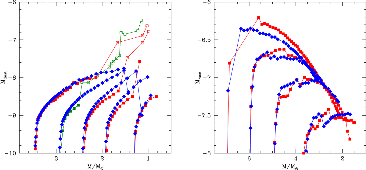
Fig. 10.

image

Variation of the dust production rate with the stellar mass for low-mass stars (left panel) and massive AGBs (right panel). Red squares and blue diamonds refer to Z = 0.03 and Z = 0.04, respectively. Full points indicate stages during which the star is O-rich, while open points refer to carbon stars. The track referring to the 2.5 M stars of metallicity Z = 0.03 is green, to better distinguish it from the 2 M and 3 M models.

Current usage metrics show cumulative count of Article Views (full-text article views including HTML views, PDF and ePub downloads, according to the available data) and Abstracts Views on Vision4Press platform.

Data correspond to usage on the plateform after 2015. The current usage metrics is available 48-96 hours after online publication and is updated daily on week days.

Initial download of the metrics may take a while.