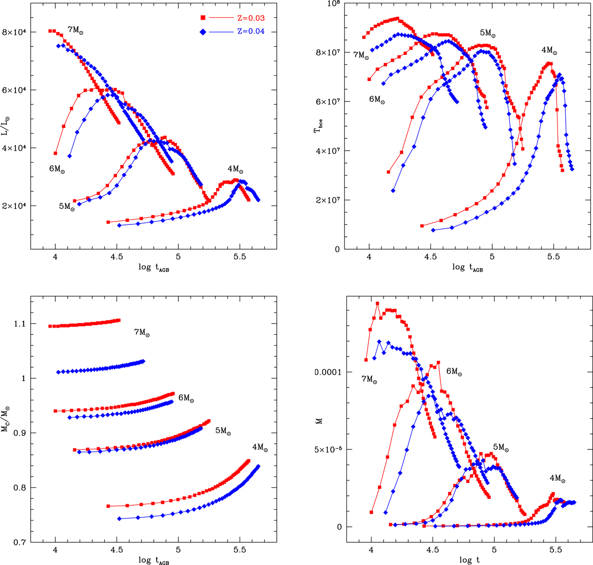
Fig. 4.

Variation with time (starting from the beginning of the TP-AGB phase) of the luminosity (top-left panel), temperature at the base of the envelope (top-right panel), core mass (bottom left) and mass-loss rate (bottom right) during the AGB phase of stars of metallicity Z = 0.03 (red squares) and Z = 0.04 (blue diamonds) of initial mass 4, 5, 6, 7 M⊙. The points along the different tracks refer to the middle of the inter-pulse phase.
Current usage metrics show cumulative count of Article Views (full-text article views including HTML views, PDF and ePub downloads, according to the available data) and Abstracts Views on Vision4Press platform.
Data correspond to usage on the plateform after 2015. The current usage metrics is available 48-96 hours after online publication and is updated daily on week days.
Initial download of the metrics may take a while.