Free Access
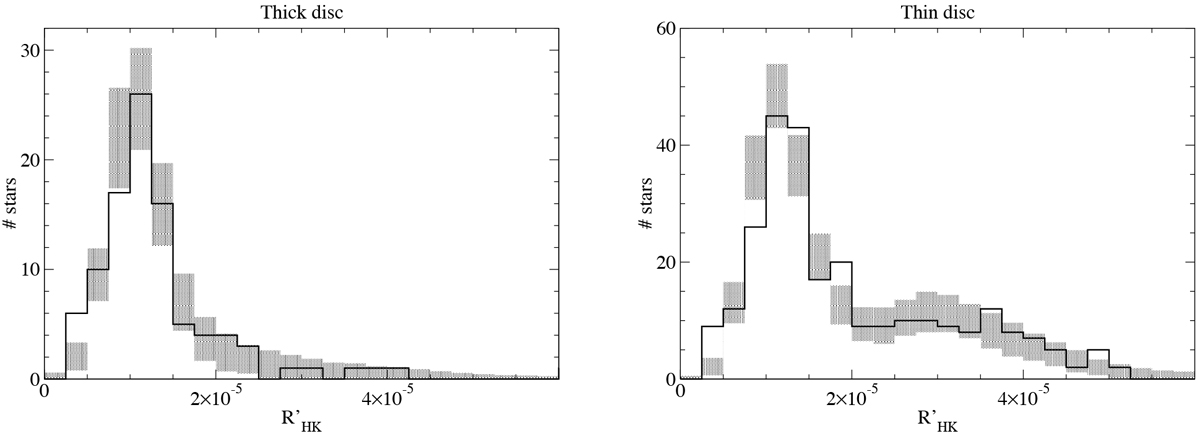
Fig. 9

Measured histograms of the
indices of the sample stars in the thick disc (left) and thin disc (right). The grey areas represent the
± 1σ envelopes of 1000 simulated distributions of
index around the best fit models.
Current usage metrics show cumulative count of Article Views (full-text article views including HTML views, PDF and ePub downloads, according to the available data) and Abstracts Views on Vision4Press platform.
Data correspond to usage on the plateform after 2015. The current usage metrics is available 48-96 hours after online publication and is updated daily on week days.
Initial download of the metrics may take a while.