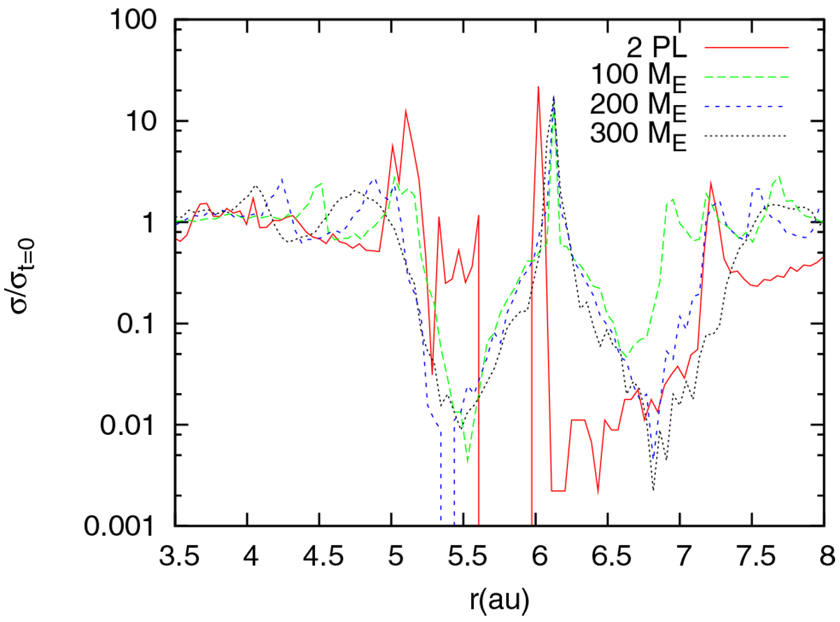
Fig. 12

Comparison between the dust gap (normalized surface density) produced by two planets in 2:1 resonance for 10 μm particles (see Fig. 11) and those carved by a single massive planet. The red line shows the gap for the two-planet case, the green dashed line that for a single planet of mass 100 M⊕, the blue dashed line that for a 200 M⊕ planet, and the black dotted line that for a 300 M⊕ planet.
Current usage metrics show cumulative count of Article Views (full-text article views including HTML views, PDF and ePub downloads, according to the available data) and Abstracts Views on Vision4Press platform.
Data correspond to usage on the plateform after 2015. The current usage metrics is available 48-96 hours after online publication and is updated daily on week days.
Initial download of the metrics may take a while.