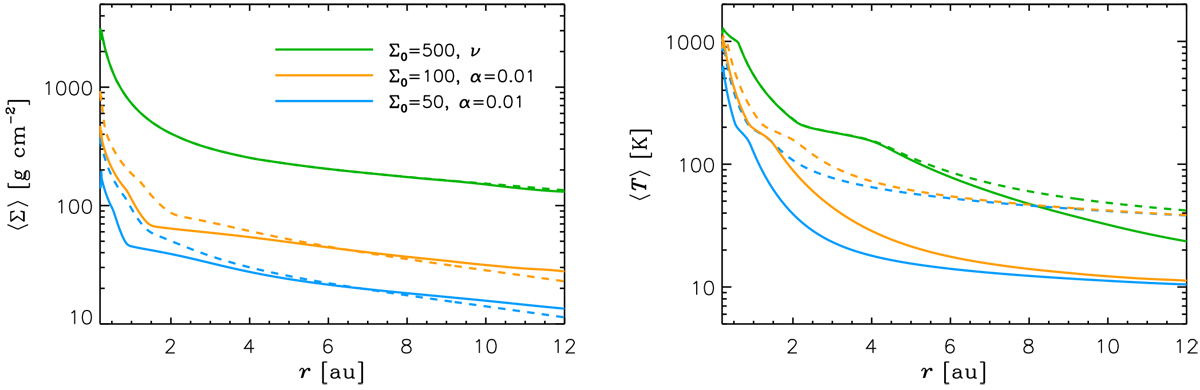
Fig. A.1

Average gas density (left) and temperature (right) of the unperturbed disks after 12 Kyr. The solid curves represent the models shown in Fig. 2 (see legend); the dashed curves refer to the corresponding models that include stellar irradiation, as outlined in the text. As expected, beyond some distance from the star, gastemperature is determined by the stellar irradiation temperature.
Current usage metrics show cumulative count of Article Views (full-text article views including HTML views, PDF and ePub downloads, according to the available data) and Abstracts Views on Vision4Press platform.
Data correspond to usage on the plateform after 2015. The current usage metrics is available 48-96 hours after online publication and is updated daily on week days.
Initial download of the metrics may take a while.