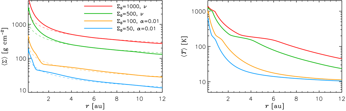
Fig. 2

Evolution of the radial profiles of the disks. Left: average gas surface density of the unperturbed disks after 12 Kyr (solid lines) compared to the initial distributions (thinner dashed lines) for various model setups, as indicated in the legend. The higher density and warmer models have constant kinematic viscosity ν (see text). Right: average gas temperature for the same models as in the left panel.
Current usage metrics show cumulative count of Article Views (full-text article views including HTML views, PDF and ePub downloads, according to the available data) and Abstracts Views on Vision4Press platform.
Data correspond to usage on the plateform after 2015. The current usage metrics is available 48-96 hours after online publication and is updated daily on week days.
Initial download of the metrics may take a while.