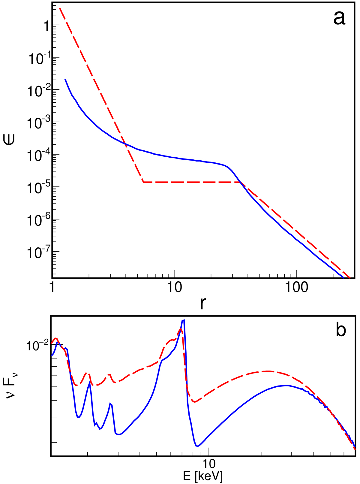
Fig. 3.

Panel a: red line shows the twice-broken power-law, radial emissivity profile fitted to 1H0707–495 by Wilkins & Fabian (2011), see text. The blue line shows the emissivity profile produced by the X-ray source with hmin = 2, hmax = 10, rc = 30, and Γ = 3.1. Panel b: reflection spectra for the emissivity profiles shown in panel a, and for Γ = 3.1, ξ = 53, AFe = 9, i = 54° and rin = rISCO; the difference of spectral shapes is only due to different amounts of relativistic distortion corresponding to the difference of the radial profiles.
Current usage metrics show cumulative count of Article Views (full-text article views including HTML views, PDF and ePub downloads, according to the available data) and Abstracts Views on Vision4Press platform.
Data correspond to usage on the plateform after 2015. The current usage metrics is available 48-96 hours after online publication and is updated daily on week days.
Initial download of the metrics may take a while.