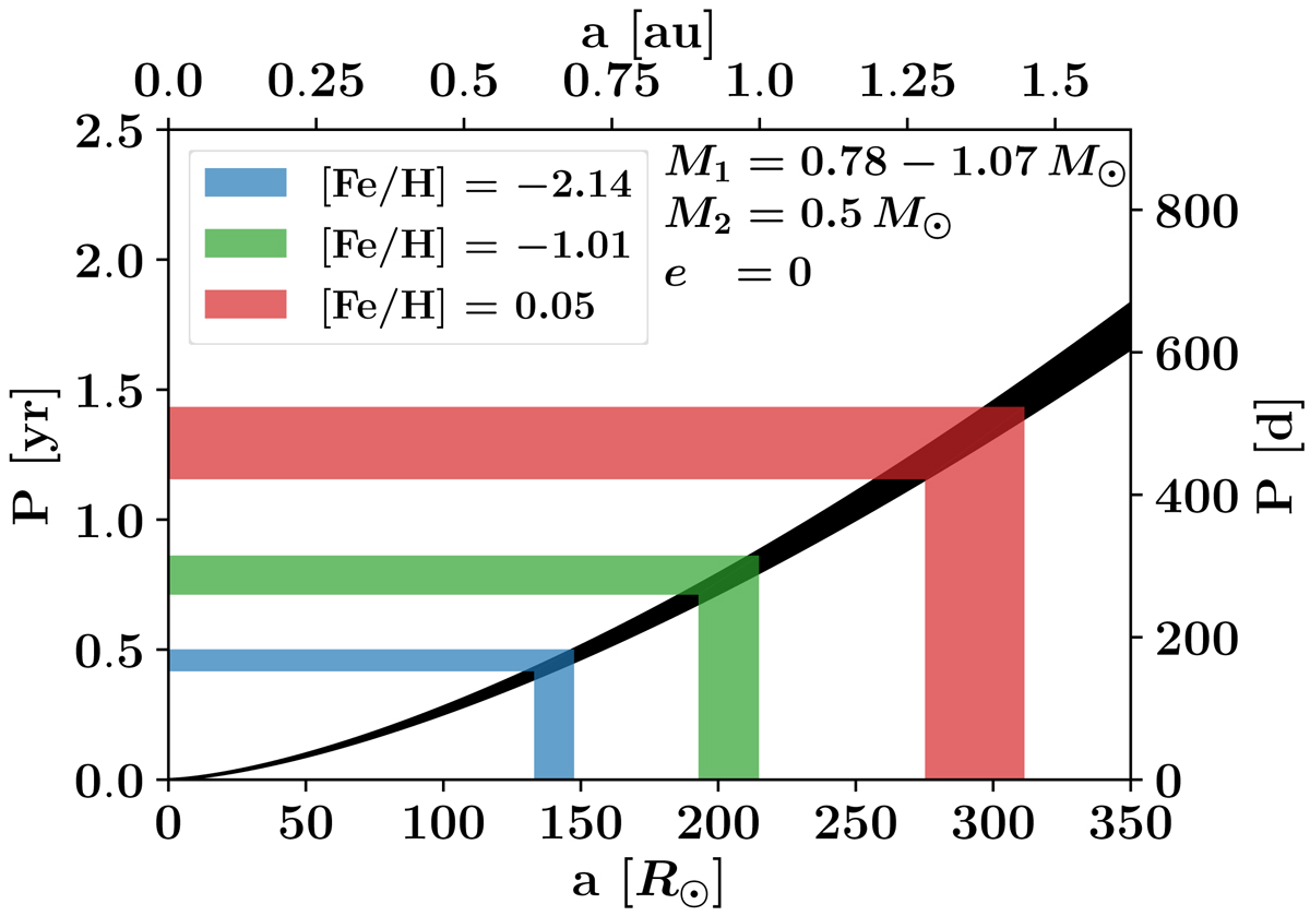
Fig. 14.

Orbital period, as function of semi-major axis, for a circular binary system composed of an RGB primary and a 0.5 M⊙ secondary (black band). The shaded coloured bands mark, for different metallicities, the separation below which Roche lobe overflow occurs during the primary RGB evolution. The width of the bands is calculated adopting an age range of 9.5−13.5 Gyr.
Current usage metrics show cumulative count of Article Views (full-text article views including HTML views, PDF and ePub downloads, according to the available data) and Abstracts Views on Vision4Press platform.
Data correspond to usage on the plateform after 2015. The current usage metrics is available 48-96 hours after online publication and is updated daily on week days.
Initial download of the metrics may take a while.