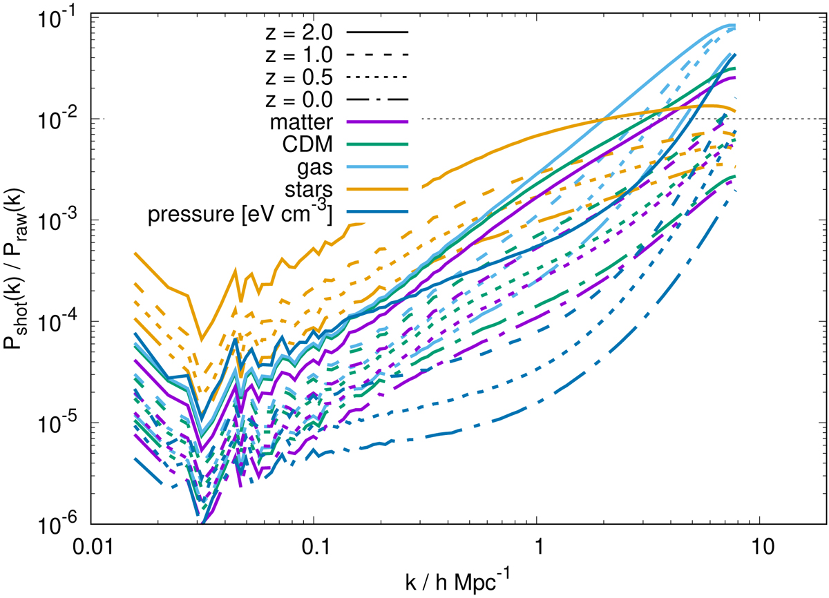
Fig. B.1.

Shot-noise contributions to auto-spectra of the various fields measured from the AGN BAHAMAS simulation. We show the ratio of the shot-noise to the auto-spectra as a function of scale for matter (purple), CDM (green), gas (blue), stars (orange) and electron pressure (yellow). The dashed line shows the cutoff for a one percent contribution. We see that shot noise is most important for the gas power spectrum at higher redshifts, where it can contribute as much as 8% of the raw measured power for the smallest scales shown. Generally shot noise becomes less important as the simulation evolves and structure develops.
Current usage metrics show cumulative count of Article Views (full-text article views including HTML views, PDF and ePub downloads, according to the available data) and Abstracts Views on Vision4Press platform.
Data correspond to usage on the plateform after 2015. The current usage metrics is available 48-96 hours after online publication and is updated daily on week days.
Initial download of the metrics may take a while.