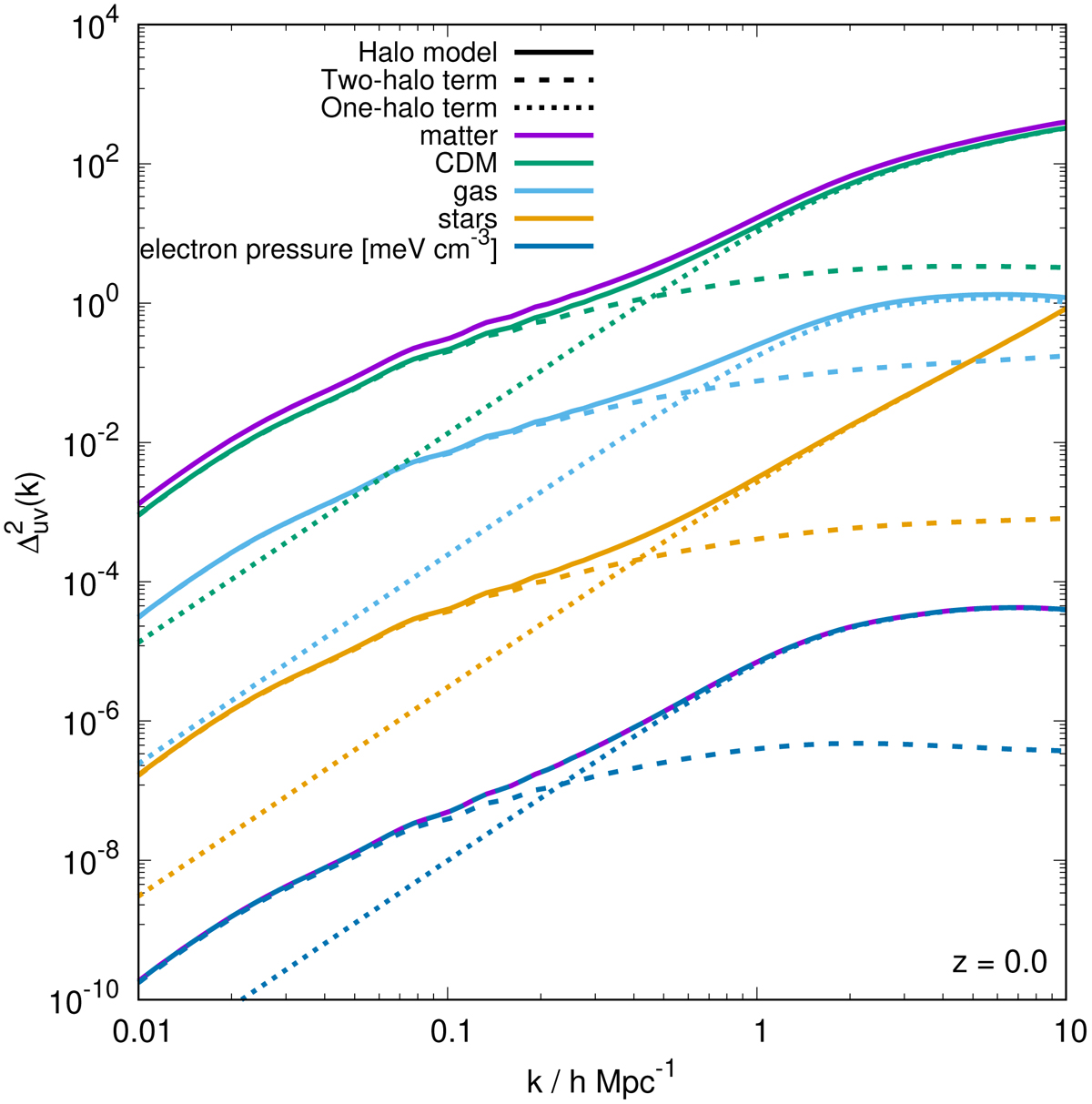
Fig. 2.

Halo-model predictions at z = 0 for the matter–matter (top), CDM–CDM, gas–gas, stars–stars and the matter–electron pressure (bottom) power spectra. We also show the two-halo (long-dashed) and the one-halo (short-dashed) terms for each spectrum apart from matter–matter. At large scales, the shapes of the two-halo terms are all identical, and are that of the linear power spectrum, at small scales the one-halo terms dominates and have significantly different shapes for each spectrum. Note that the transition scale between the two- and one-halo term is at much larger scales for the matter–electron pressure cross spectrum, which is a consequence of this spectrum being dominated by contributions from more massive haloes compared to those that contribute to the matter spectra. The down-turn at small scales in the gas–gas and matter–electron pressure spectra is partly due to the underrepresentation of low-mass haloes and partly due to their relatively smooth halo profiles.
Current usage metrics show cumulative count of Article Views (full-text article views including HTML views, PDF and ePub downloads, according to the available data) and Abstracts Views on Vision4Press platform.
Data correspond to usage on the plateform after 2015. The current usage metrics is available 48-96 hours after online publication and is updated daily on week days.
Initial download of the metrics may take a while.