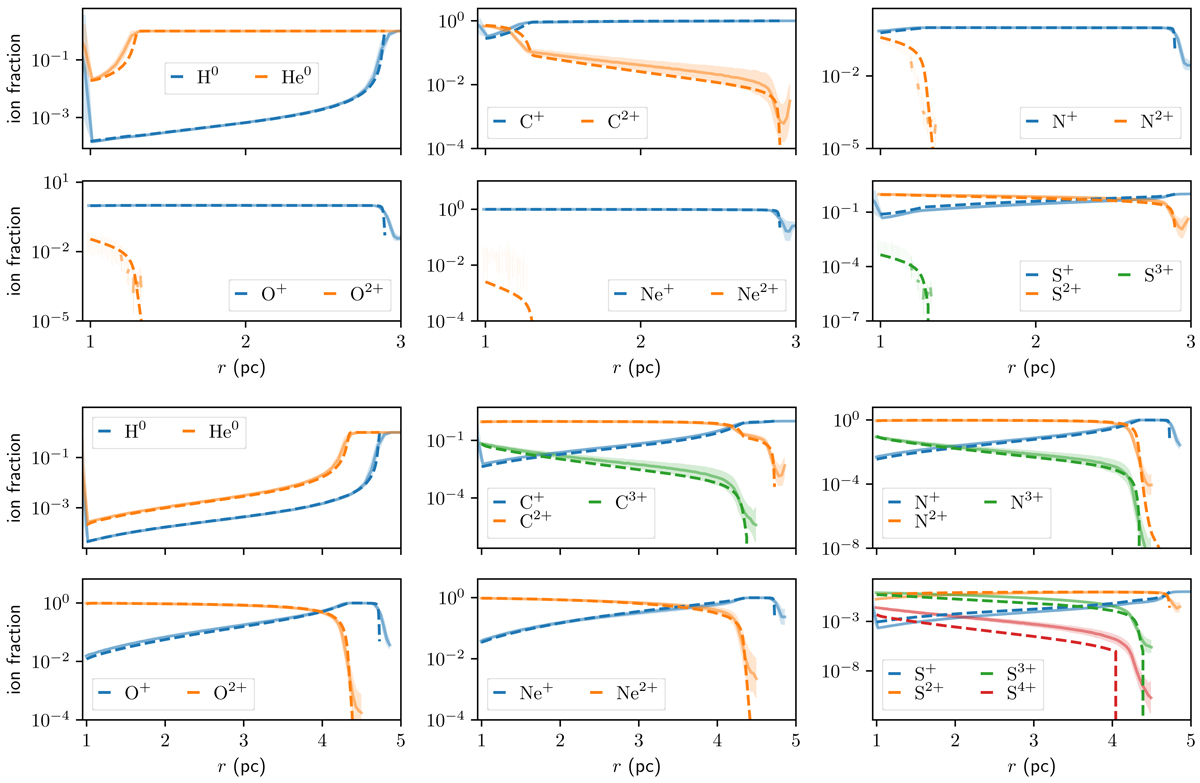
Fig. 8.

Ionic fraction as a function of radius for the low-temperature (top rows) and high-temperature (bottom row) Lexington benchmarks. The simulation results were binned into 100 radial bins in log space. The solid lines show the average value in each bin, while the shaded region underneath represents the standard deviation within each bin. The dashed lines correspond to the CLOUDY reference solution.
Current usage metrics show cumulative count of Article Views (full-text article views including HTML views, PDF and ePub downloads, according to the available data) and Abstracts Views on Vision4Press platform.
Data correspond to usage on the plateform after 2015. The current usage metrics is available 48-96 hours after online publication and is updated daily on week days.
Initial download of the metrics may take a while.