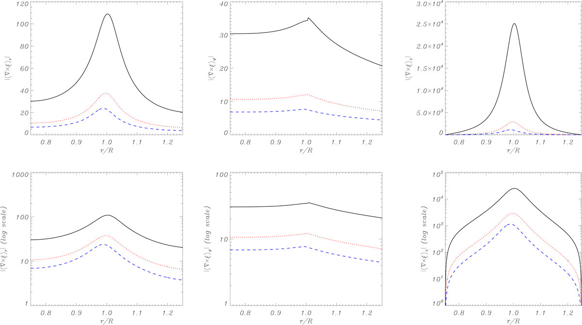
Fig. 3.

Absolute value of the radial (left), azimuthal (centre), and parallel (right) vorticity components in the non-uniform part of a flux tube with l/R = 0.5 and ρi/ρe = 2. The top panels are in linear scale, and the bottom panels are in logarithmic scale. The different line styles denote kzR = 0.1 (solid black line), kzR = 0.3 (dotted red line), and kzR = 0.5 (dashed blue line).
Current usage metrics show cumulative count of Article Views (full-text article views including HTML views, PDF and ePub downloads, according to the available data) and Abstracts Views on Vision4Press platform.
Data correspond to usage on the plateform after 2015. The current usage metrics is available 48-96 hours after online publication and is updated daily on week days.
Initial download of the metrics may take a while.