Free Access

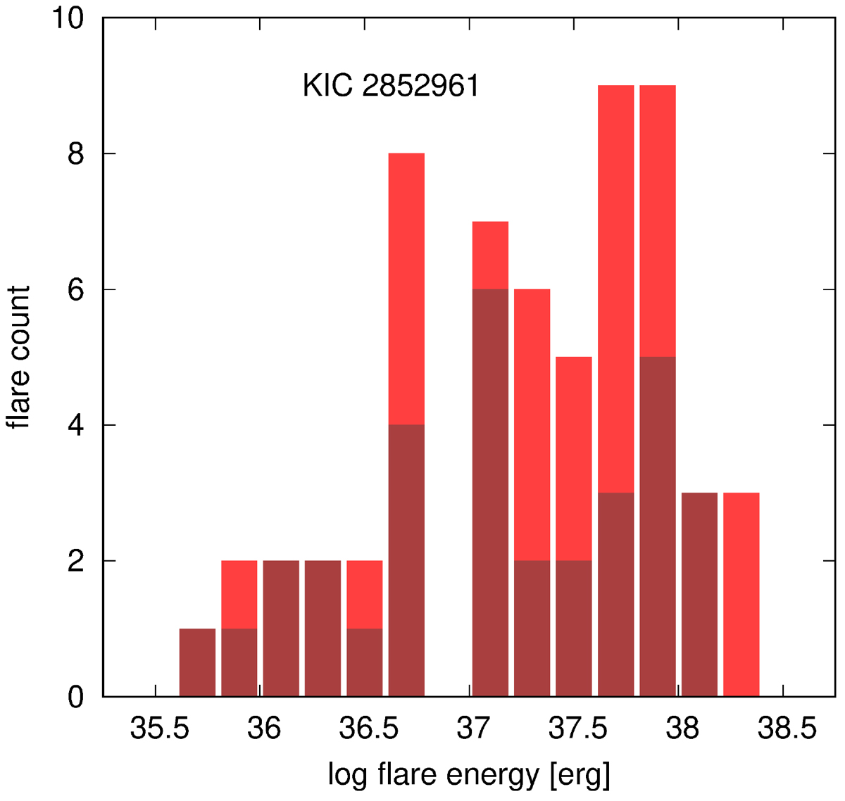
Fig. 15

image

Flare statistics of KIC 2852961. The fraction of the 32 regular flares in the full sample of 59 flares is plotted in dark red. See the text for details.

Current usage metrics show cumulative count of Article Views (full-text article views including HTML views, PDF and ePub downloads, according to the available data) and Abstracts Views on Vision4Press platform.

Data correspond to usage on the plateform after 2015. The current usage metrics is available 48-96 hours after online publication and is updated daily on week days.

Initial download of the metrics may take a while.