Fig. 7.

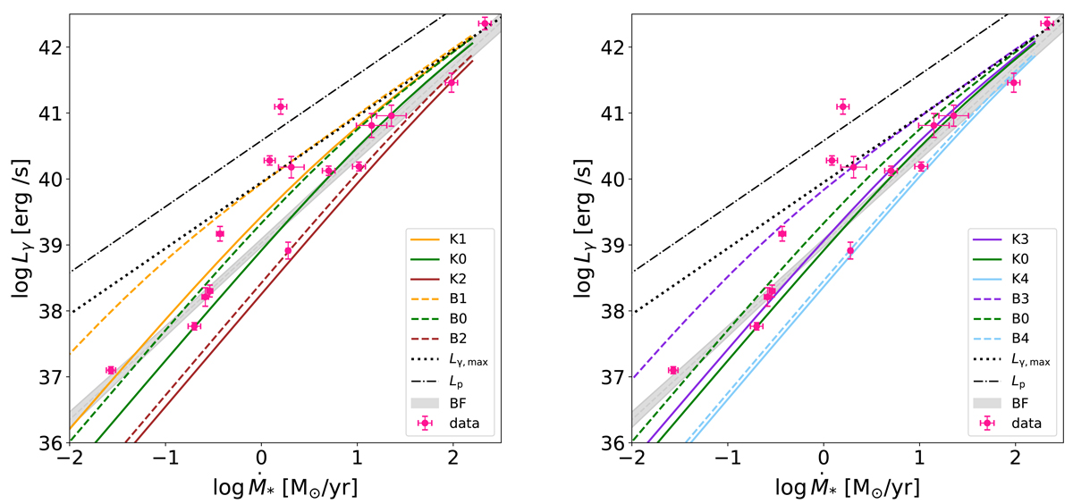
Model Lγ–SFR relation for our scenarios 0, 1, and 2 (R = 1, 0.1, 5 kpc, left panel), and 0, 3, and 4 (vw = 400, 40, 4000 km s−1, right panel). Scenarios with both Kolmogorov (solid lines) and Bohm (dashed lines) diffusion prescriptions are shown. The black dotted line delineates the genuine calorimetric limit given by Eq. (18) (see text), whereas the grey dot-dashed line represents all the luminosity available in relativistic protons for each SFR. The grey shaded band indicates the 1σ confidence region of the fit to the BF sample (see Sect. 2).
Current usage metrics show cumulative count of Article Views (full-text article views including HTML views, PDF and ePub downloads, according to the available data) and Abstracts Views on Vision4Press platform.
Data correspond to usage on the plateform after 2015. The current usage metrics is available 48-96 hours after online publication and is updated daily on week days.
Initial download of the metrics may take a while.