Free Access

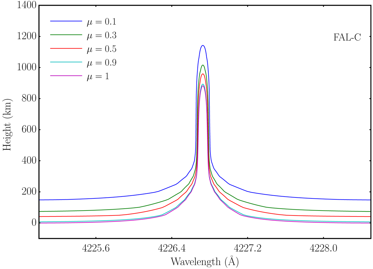
Fig. 2.

image

Height at which the optical depth is unity as a function of wavelength across the Ca I 4227 Å line, in the semiempirical atmospheric model C of Fontenla et al. (1993), for various lines of sight (see legend). These curves provide a rough estimate of the formation region of the line as a function of wavelength.

Current usage metrics show cumulative count of Article Views (full-text article views including HTML views, PDF and ePub downloads, according to the available data) and Abstracts Views on Vision4Press platform.

Data correspond to usage on the plateform after 2015. The current usage metrics is available 48-96 hours after online publication and is updated daily on week days.

Initial download of the metrics may take a while.